-
Matematika
-
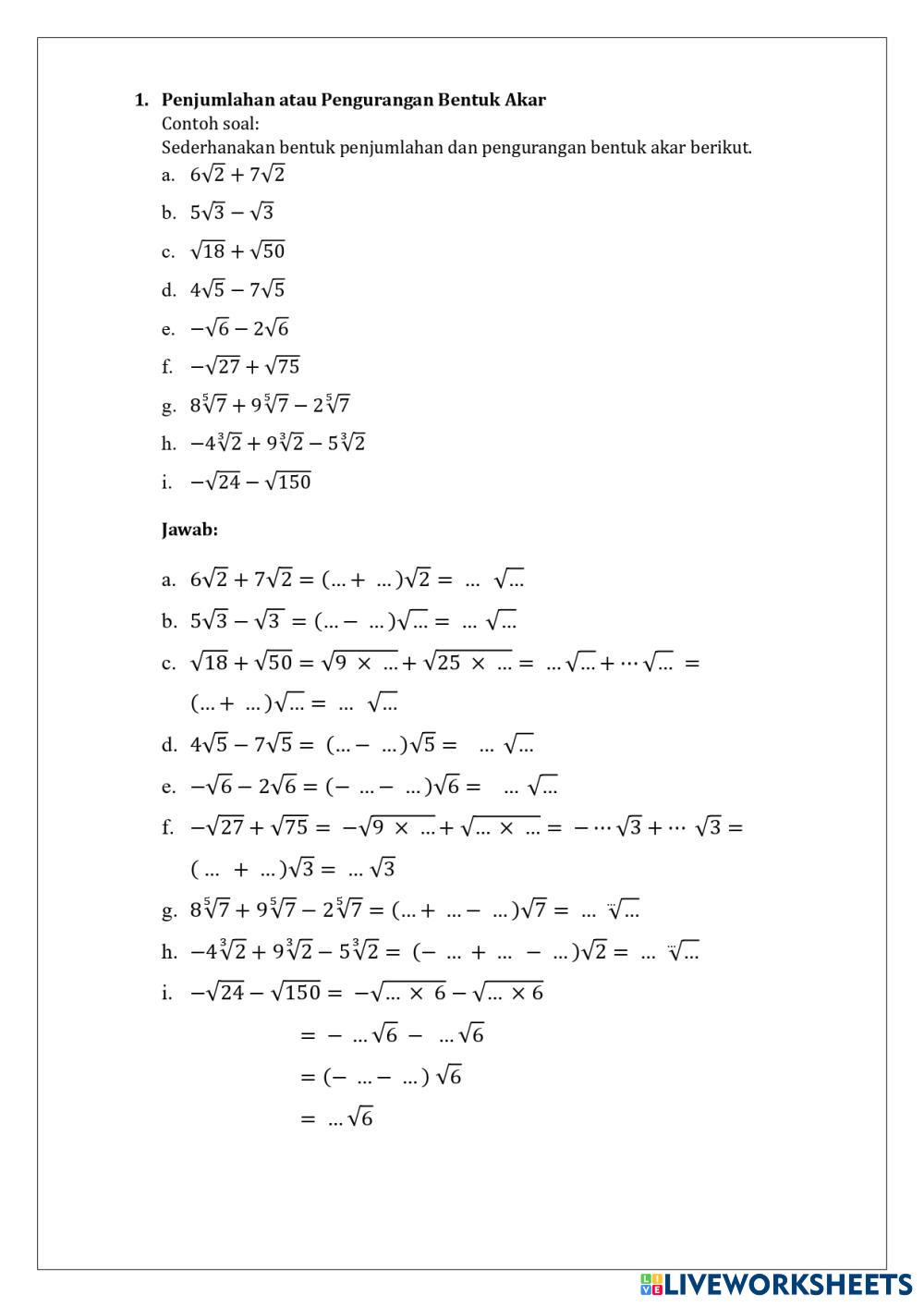
Operasi Bentuk Akar
-
Age 14+
-
level: SMP Kelas 7
-
Indonesian
Author's Instructions
-
Matematika
-
Operasi Bentuk Akar
-
Age 14+
-
level: SMP Kelas 7
-
Indonesian
📚 New Feature: Share worksheets & get automatic grading via Google Classroom 🎓
