-
Matematika
-
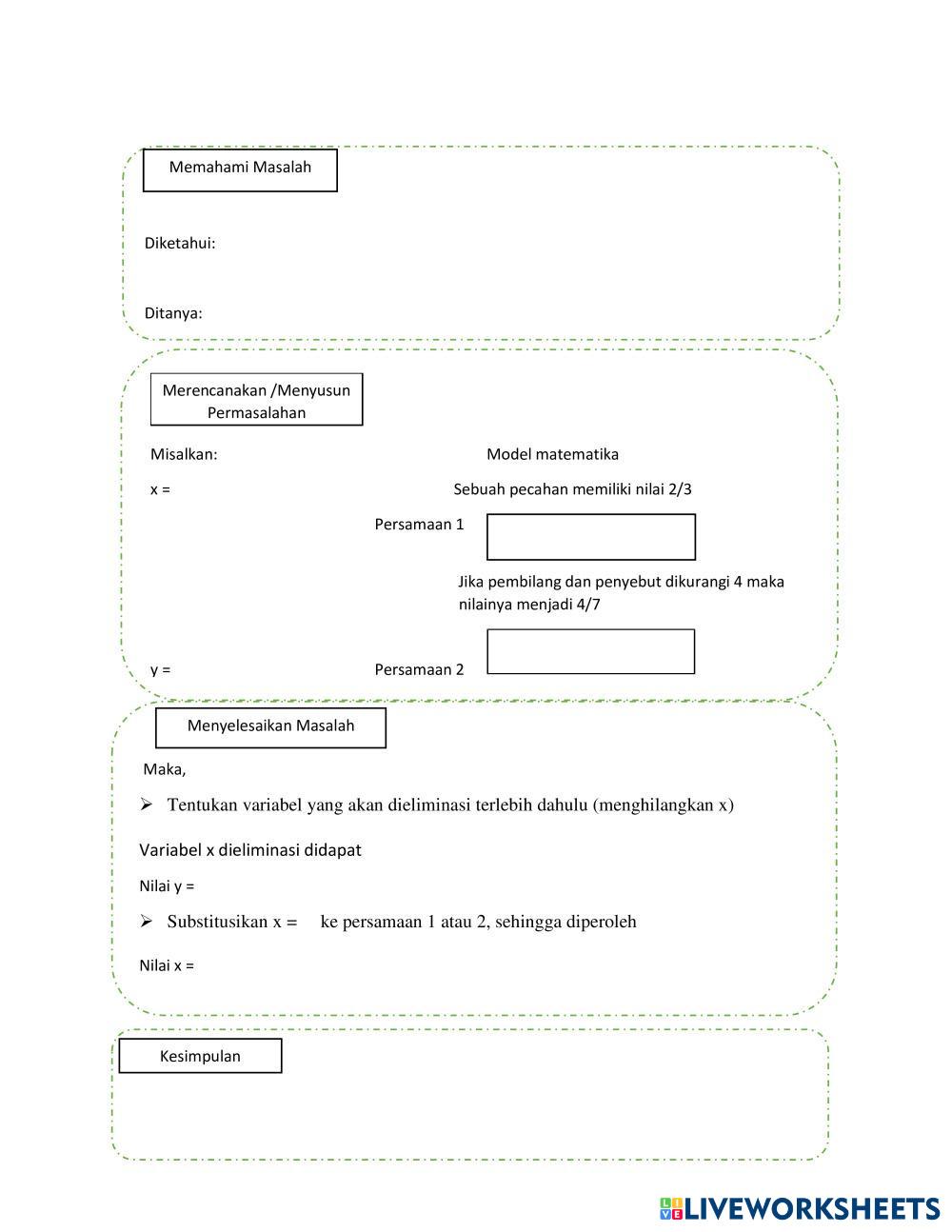
Sistem Persamaan Linear Dua Variabel (SPLDV)
-
Age 7+
-
level: 8
-
Indonesian
Author's Instructions
-
Matematika
-
Sistem Persamaan Linear Dua Variabel (SPLDV)
-
Age 7+
-
level: 8
-
Indonesian
📚 New Feature: Share worksheets & get automatic grading via Google Classroom 🎓
