-
Matematika
-
Perpangkatan dan bentuk akar
-
Age 13-16
-
level: Kelas IX
-
Indonesian
Author's Instructions
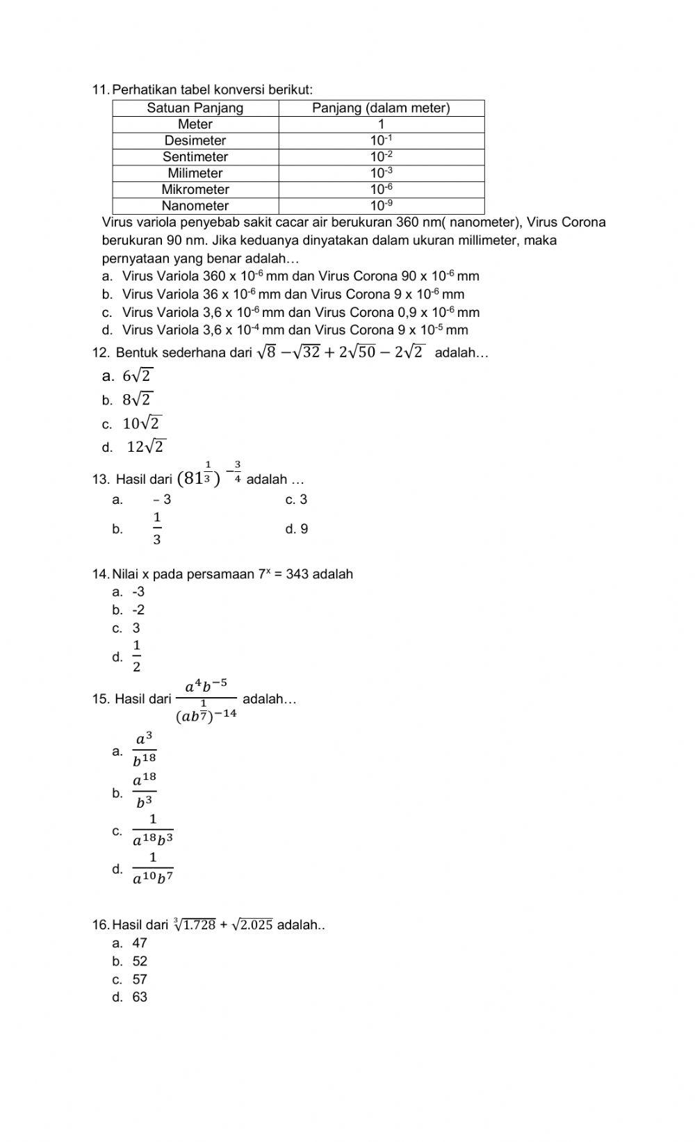
Soal penilaian Harian Bab 1 kelas IX Kurikulum 2013
-
Matematika
-
Perpangkatan dan bentuk akar
-
Age 13-16
-
level: Kelas IX
-
Indonesian
Author's Instructions
Soal penilaian Harian Bab 1 kelas IX Kurikulum 2013
📚 New Feature: Share worksheets & get automatic grading via Google Classroom 🎓
