Created by

mahadi123456789
-
Matematika
-
Matematika bab 19 Transformasi geometri
-
Age 12-15
-
level: 7-9
-
Indonesian
Author's Instructions
Matematika bab 19 Transformasi geometri
Created by

mahadi123456789
-
Matematika
-
Matematika bab 19 Transformasi geometri
-
Age 12-15
-
level: 7-9
-
Indonesian
Author's Instructions
Matematika bab 19 Transformasi geometri
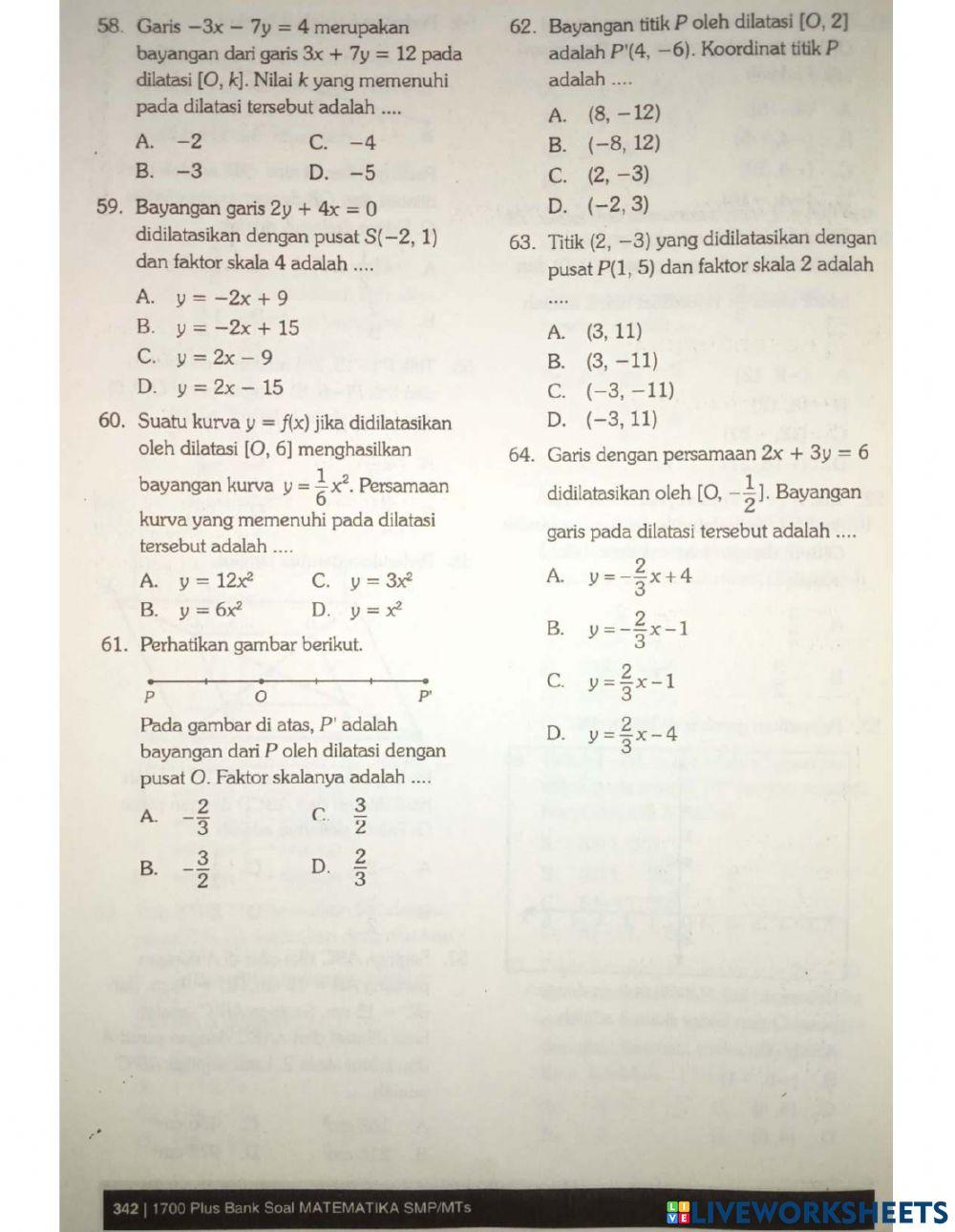
📚 New Feature: Share worksheets & get automatic grading via Google Classroom 🎓