-
Matematika SMA Kelas 11
-
Pembagian Polinomial
-
Age 15+
-
level: 11
-
Indonesian
Author's Instructions
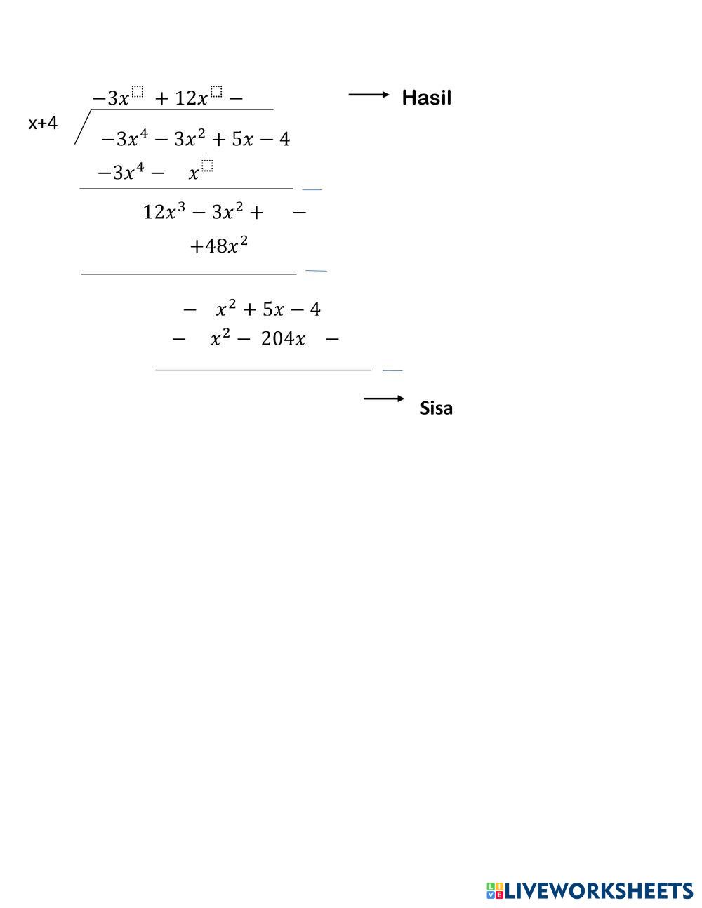
Isilah titik titik pada lembar kerja berikut ini
-
Matematika SMA Kelas 11
-
Pembagian Polinomial
-
Age 15+
-
level: 11
-
Indonesian
Author's Instructions
Isilah titik titik pada lembar kerja berikut ini
📚 New Feature: Share worksheets & get automatic grading via Google Classroom 🎓
