-
Kimia
-
Kimia kelas 11
-
Age 14-18
-
level: 11
-
Indonesian
Author's Instructions
soal ulangan akhir semester mapel kimia kls 11
-
Kimia
-
Kimia kelas 11
-
Age 14-18
-
level: 11
-
Indonesian
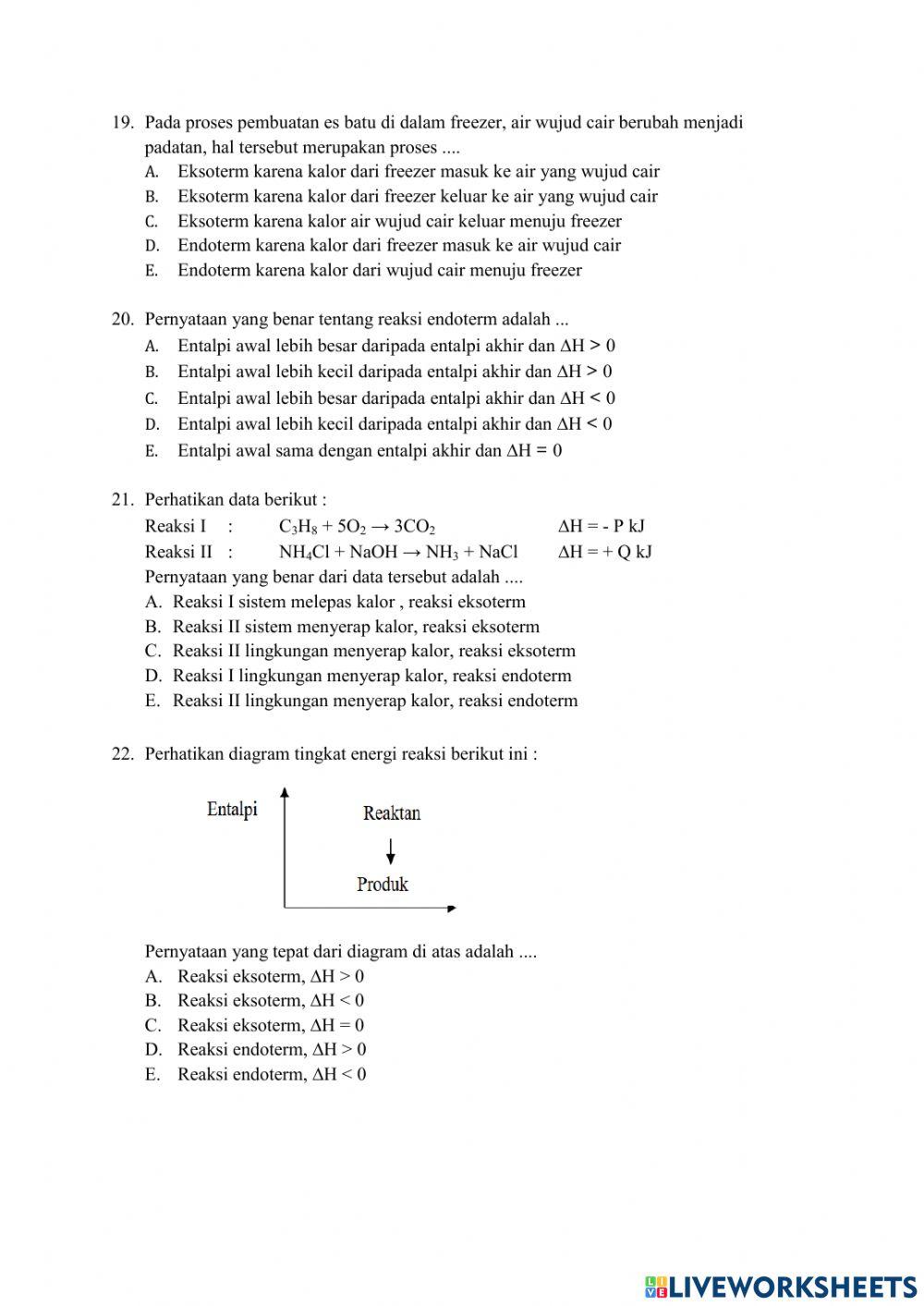
Author's Instructions
soal ulangan akhir semester mapel kimia kls 11
📚 New Feature: Share worksheets & get automatic grading via Google Classroom 🎓
