Created by

erniriyanbimtek40
-
Kimia 12 MIPA
-
Elektrolisis dan Hukum Faraday
-
Age 15+
-
level: 12
-
Indonesian
Author's Instructions
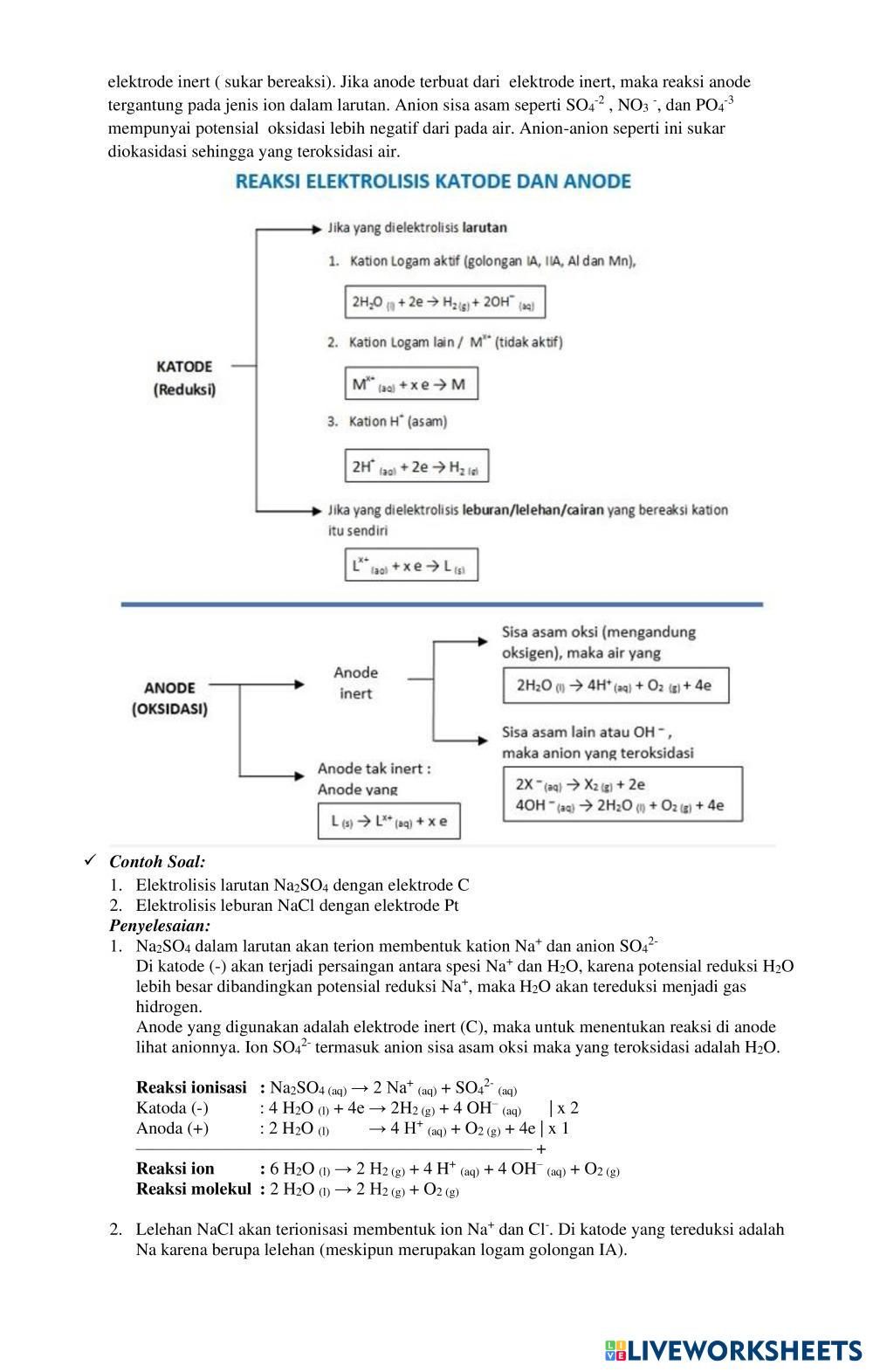
LKPD ini berisi tentang prinsip kerja sel elektrolisis dan penggunaan hukum faraday pada proses elektrolisis
Created by

erniriyanbimtek40
-
Kimia 12 MIPA
-
Elektrolisis dan Hukum Faraday
-
Age 15+
-
level: 12
-
Indonesian
Author's Instructions
LKPD ini berisi tentang prinsip kerja sel elektrolisis dan penggunaan hukum faraday pada proses elektrolisis
📚 New Feature: Share worksheets & get automatic grading via Google Classroom 🎓