-
KELAS 5
-
PAT BAHASA INDONESIA 5
-
Age 10-14
-
level: 5
-
Indonesian
Author's Instructions
-
KELAS 5
-
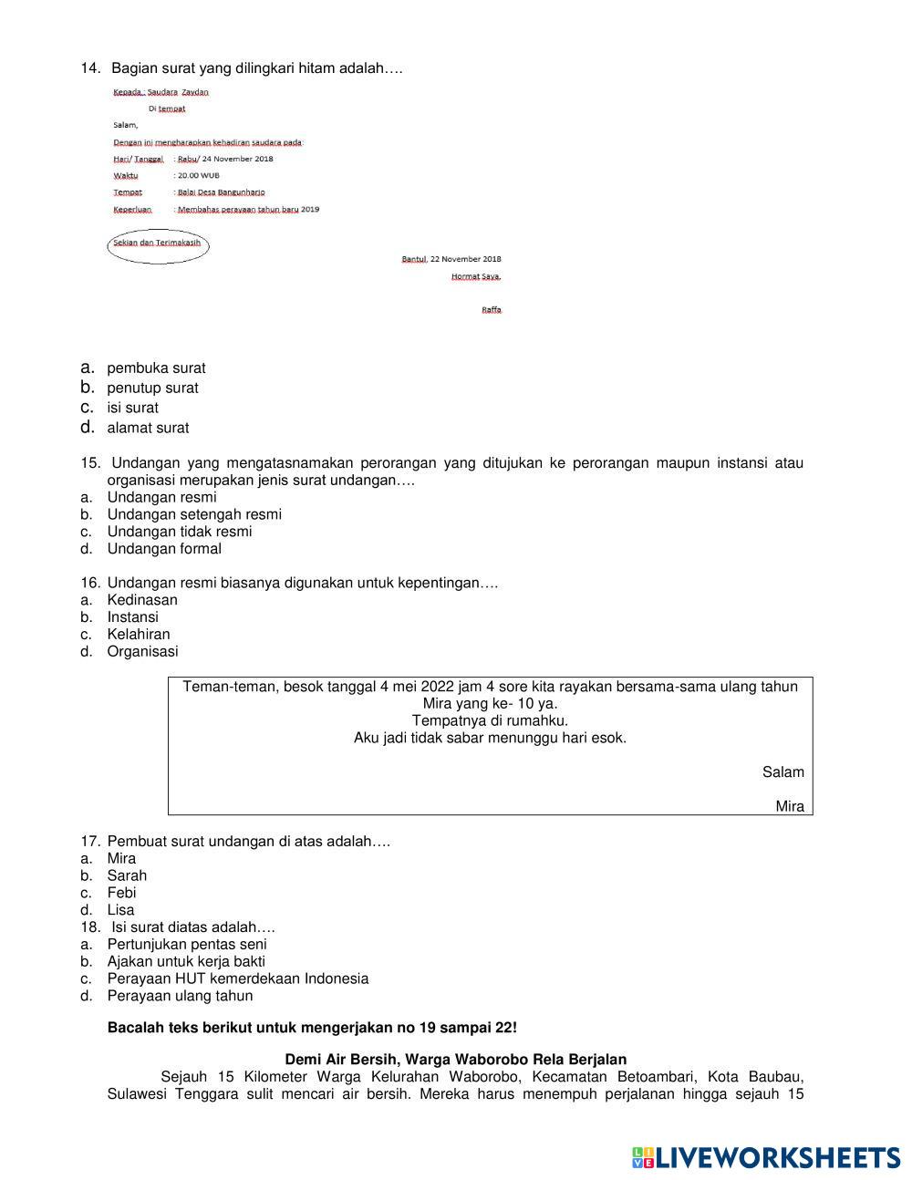
PAT BAHASA INDONESIA 5
-
Age 10-14
-
level: 5
-
Indonesian
📚 New Feature: Share worksheets & get automatic grading via Google Classroom 🎓
