-
English as a Foreign Language(EFL)
-
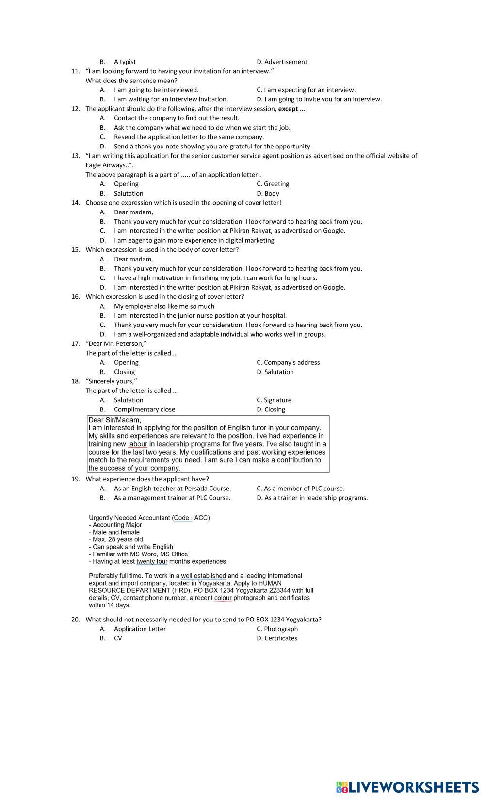
English Job Application Letter
-
Age 16+
-
level: 11th Grade
-
Indonesian
Author's Instructions
-
English as a Foreign Language(EFL)
-
English Job Application Letter
-
Age 16+
-
level: 11th Grade
-
Indonesian
📚 New Feature: Share worksheets & get automatic grading via Google Classroom 🎓
