-
Ekonomi
-
Upk ekonomi 22
-
Age 10+
-
level: 12
-
Indonesian
Author's Instructions
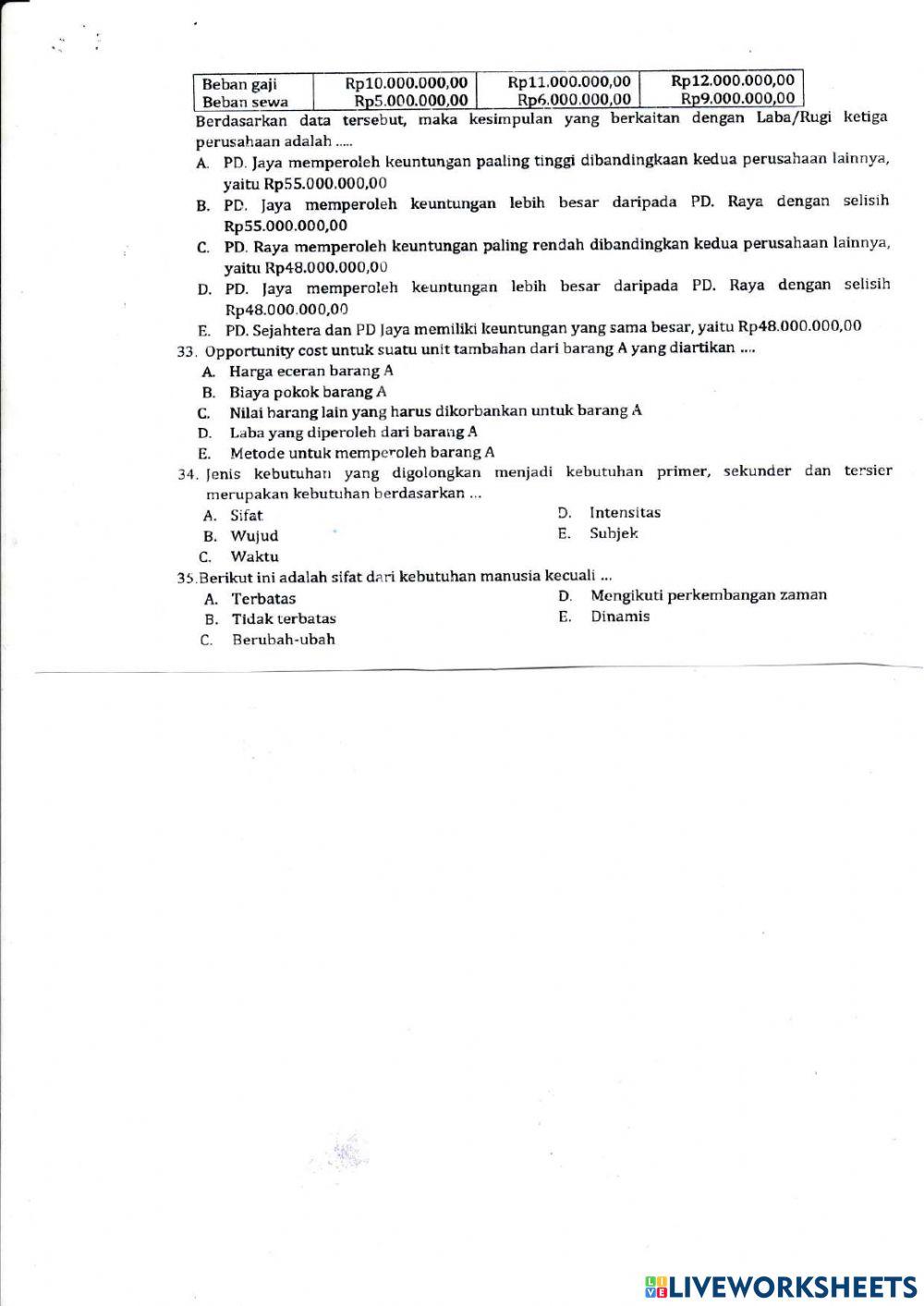
berdo'doa lah sebelum dan sesudah mengerjakan UPK ini.......
-
Ekonomi
-
Upk ekonomi 22
-
Age 10+
-
level: 12
-
Indonesian
Author's Instructions
berdo'doa lah sebelum dan sesudah mengerjakan UPK ini.......
📚 New Feature: Share worksheets & get automatic grading via Google Classroom 🎓
