Created by

hajizah
-
BIOLOGI
-
Metabolisme
-
Age 15+
-
level: 12
-
Indonesian
Author's Instructions
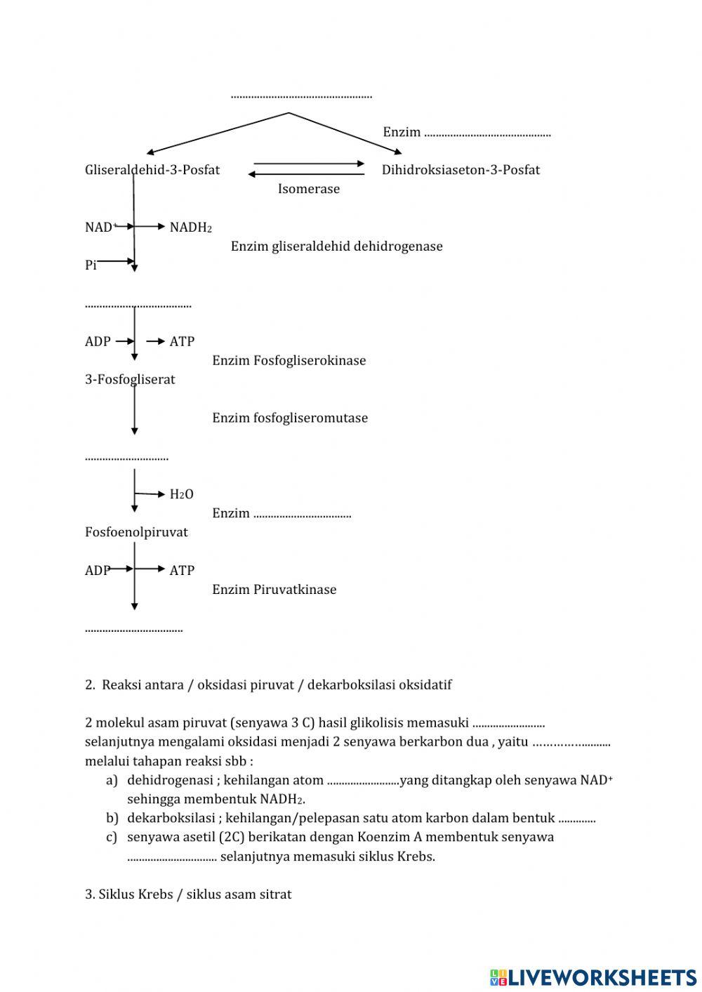
POSTES MATERI KATABOLISME KARBOHIDRAT BERUPA MELENGKAPI KALIMAT
Created by

hajizah
-
BIOLOGI
-
Metabolisme
-
Age 15+
-
level: 12
-
Indonesian
Author's Instructions
POSTES MATERI KATABOLISME KARBOHIDRAT BERUPA MELENGKAPI KALIMAT
📚 New Feature: Share worksheets & get automatic grading via Google Classroom 🎓