Created by

RiniPurwaningsih
-
Bahasa Inggris
-
Bahasa Inggris 9
-
Age 12-15
-
level: 9
-
Indonesian
Author's Instructions
Bahasa Inggris 9
Created by

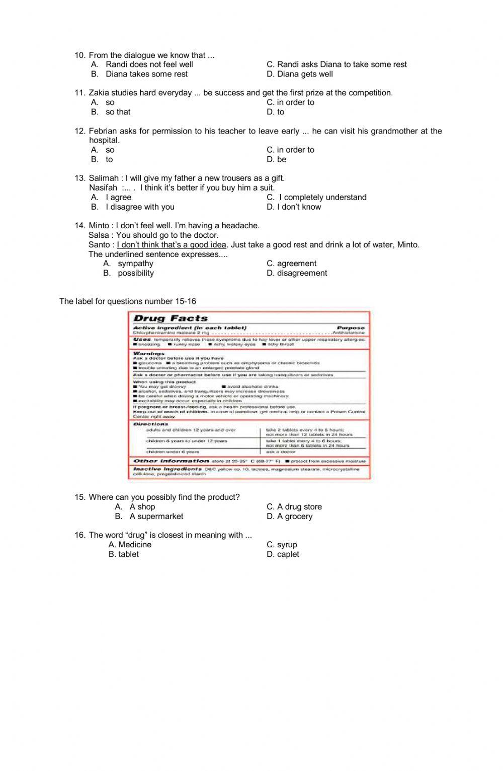
RiniPurwaningsih
-
Bahasa Inggris
-
Bahasa Inggris 9
-
Age 12-15
-
level: 9
-
Indonesian
Author's Instructions
Bahasa Inggris 9
📚 New Feature: Share worksheets & get automatic grading via Google Classroom 🎓