-
Bahasa Indonesia
-
Literasi
-
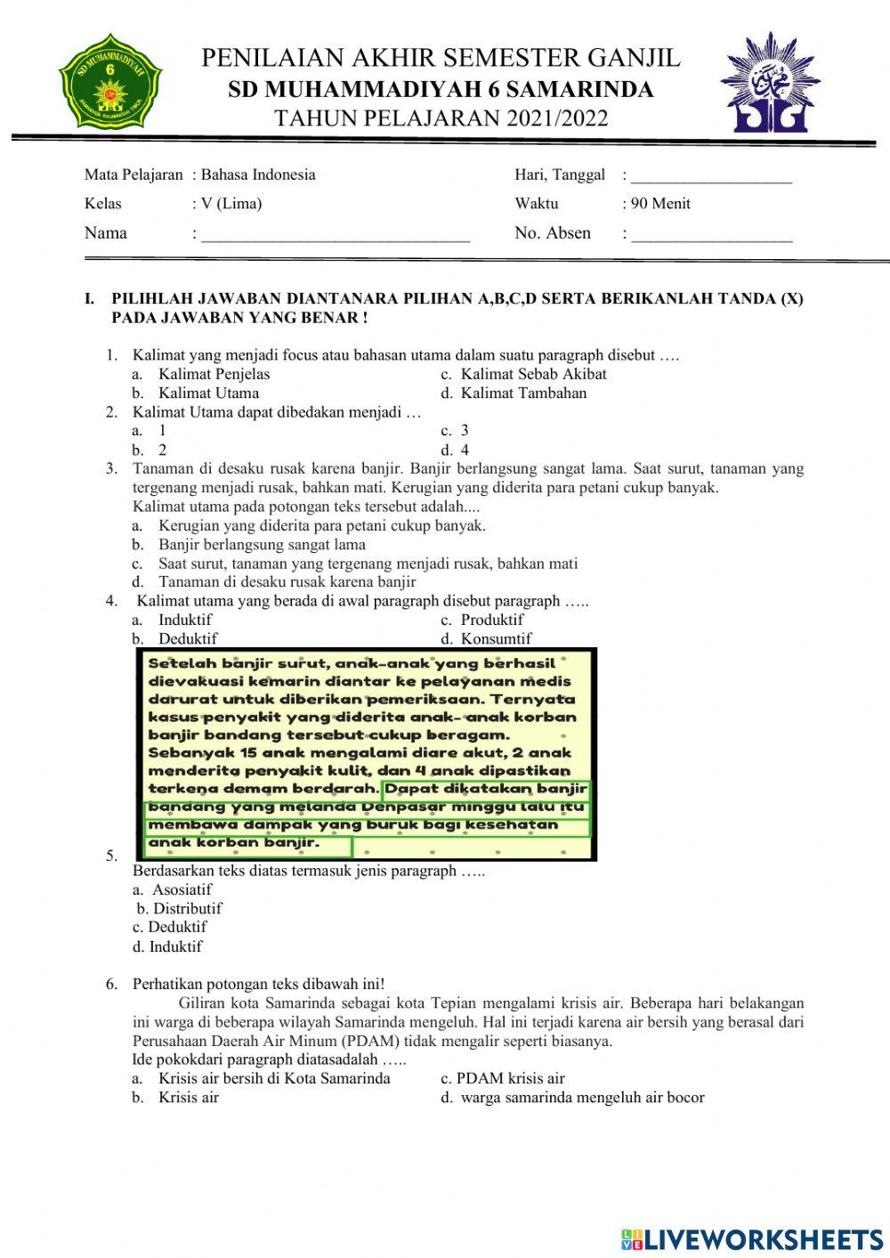
Age 8-12
-
level: kelas 5
-
Indonesian
Author's Instructions
sebagai PAS Kelas 5 Bahasa indonesia
-
Bahasa Indonesia
-
Literasi
-
Age 8-12
-
level: kelas 5
-
Indonesian
Author's Instructions
sebagai PAS Kelas 5 Bahasa indonesia
📚 New Feature: Share worksheets & get automatic grading via Google Classroom 🎓
