-
מתמטיקה
-
תרגול
-
Age 15-18
-
level: יא
-
Hebrew (modern)
Author's Instructions
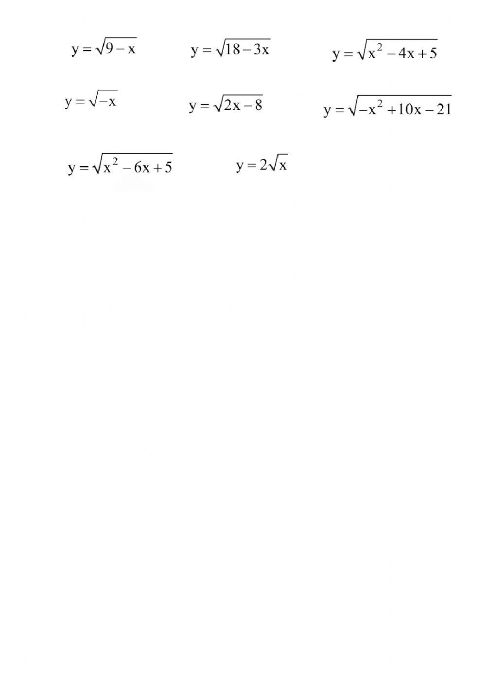
תחום הגדרה של פונקציה שורש להתאים בין היצוג הגרפי לאלגברי
-
מתמטיקה
-
תרגול
-
Age 15-18
-
level: יא
-
Hebrew (modern)
Author's Instructions
תחום הגדרה של פונקציה שורש להתאים בין היצוג הגרפי לאלגברי
📚 New Feature: Share worksheets & get automatic grading via Google Classroom 🎓
