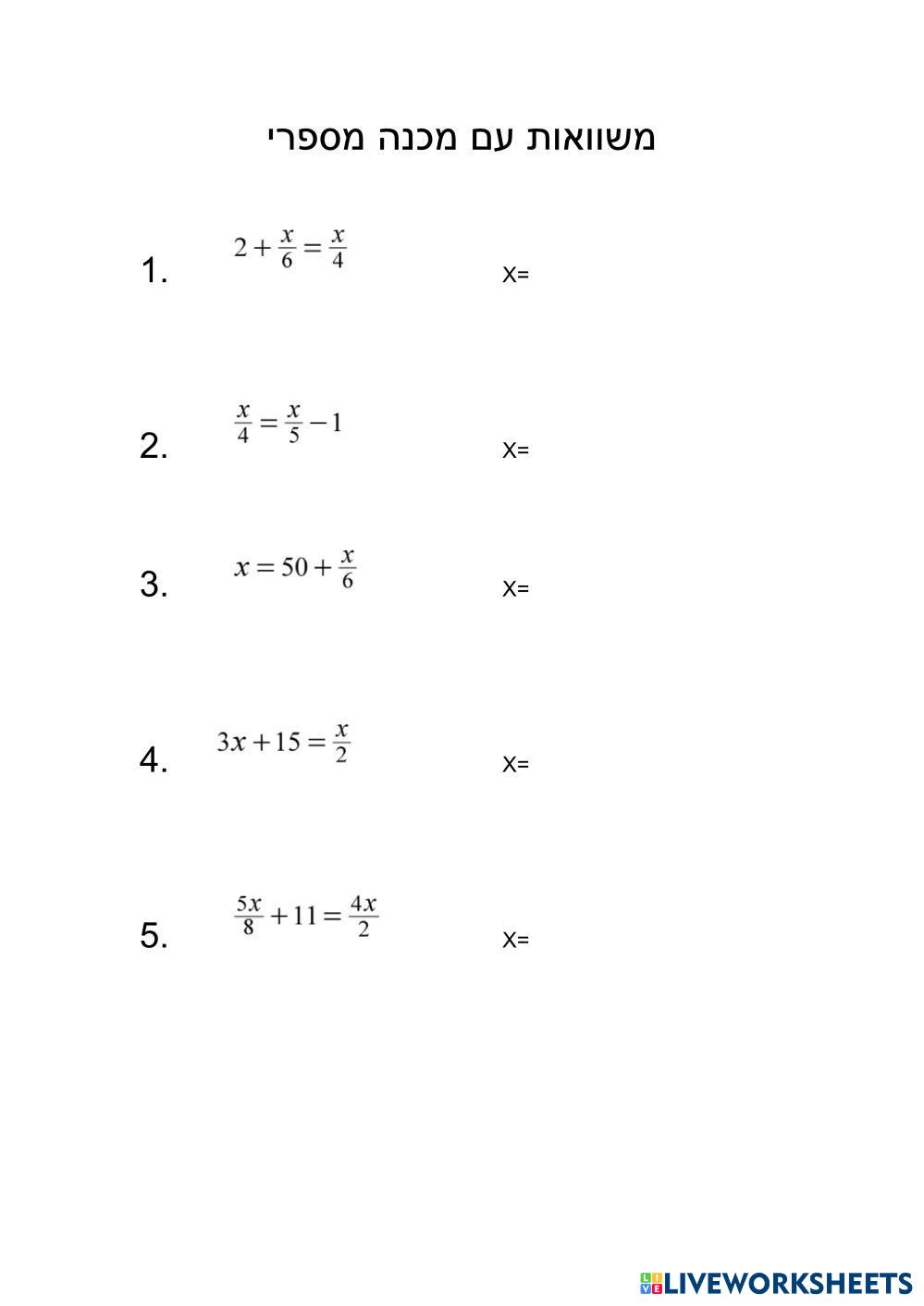
Created byMara Shmidov Math Middle School 7th grade Algebra Hebrew (modern) Author's Instructions פתרו את המשוואות הבאות My Google Classroom Courses × 0 classes selected (0 students total) Quick Access Select all classes (0 classes) All Classes Loading courses... Cancel Share Share to selected Course __COURSE_NAME__ __STUDENT_NAME__ (__STUDENT_EMAIL__) משוואות עם מכנה מספרי Download Worksheet Validation Check my answers Emails my answers to my teacher Full name Group/level School subject Teacher's email or key code Close Submit Validating worksheet... (12) Your answers have been sent to your teacher. Good luck! OK We encountered an error submitting your answers. Please try again. OK Advertisement | Go Ad Free Created byMara Shmidov Math Middle School 7th grade Algebra Hebrew (modern) Author's Instructions פתרו את המשוואות הבאות Explore Worksheets Worksheet Addition and Subtraction of Integers Math 7th grade Worksheet Addition and Subtraction of Integers Algebra - Math Addition and Subtraction instructions STUDENT WORKSHEET MATHEMATICS ALGEBRA Math 7th grade STUDENT WORKSHEET MATHEMATICS ALGEBRA Algebra - Math ALGEBRA Worksheet Addition and Subtraction of Integers Math 7th grade Worksheet Addition and Subtraction of Integers Algebra - Math Worksheet Addition and Subtraction of Integers ORDERING NUMBERS Math 7th grade ORDERING NUMBERS Algebra - Math 👉 Watch the video carefully. 👉 Complete all activities after watching. 👉 Arrange the numbers in ascending (smallest to largest) and descending (largest to smallest) order. 👉 Match the correct answers and complete the exercises. 👉 For speaking tasks, click the microphone and record your answer clearly.