-
Math
-
High School
-
12th grade
-
Calculus and Advanced Math Concepts
-
Spanish
Author's Instructions
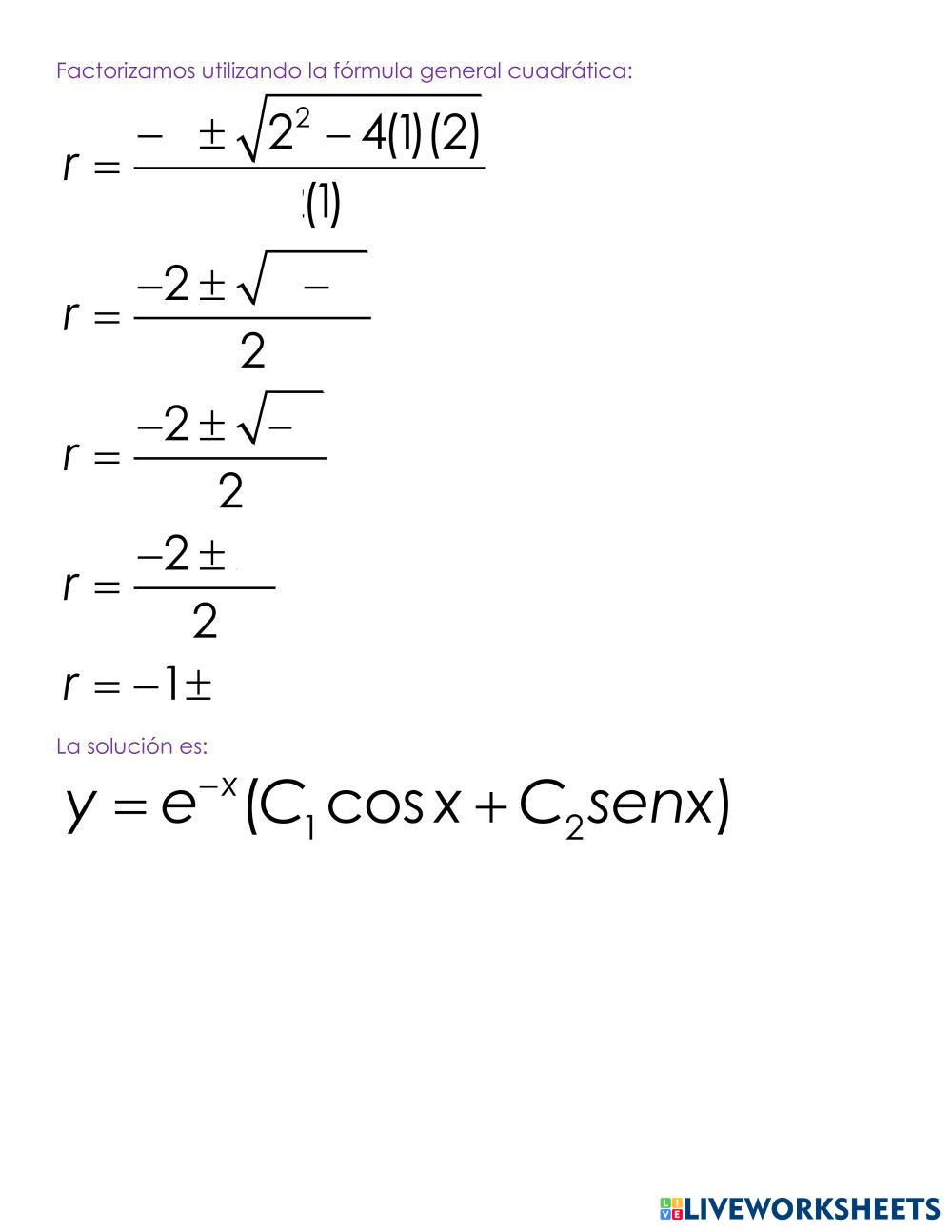
Complete el procedimiento para resolver las siguientes ecuaciones diferenciales.
-
Math
-
High School
-
12th grade
-
Calculus and Advanced Math Concepts
-
Spanish
Author's Instructions
Complete el procedimiento para resolver las siguientes ecuaciones diferenciales.
Explore Worksheets
FRACCIONES Y PORCENTAJE
- Math
- 12th grade
Aktivitas 1 (Kuartil Data Tunggal dan Data Kelompok)
- Math
- 12th grade
LKPD BUNGA TUNGGAL
- Math
- 12th grade
š New Feature: Share worksheets & get automatic grading via Google Classroom š
