-
Math
-
High School
-
9th grade
-
Calculus and Advanced Math Concepts
-
Spanish
Author's Instructions
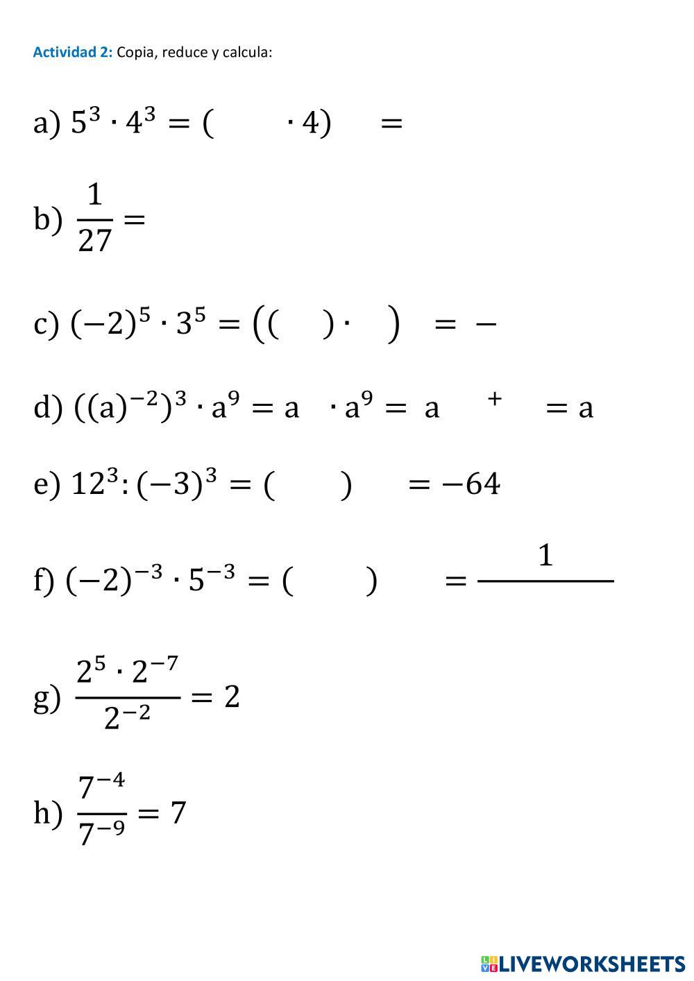
Operaciones con potencias
-
Math
-
High School
-
9th grade
-
Calculus and Advanced Math Concepts
-
Spanish
Author's Instructions
Operaciones con potencias
Explore Worksheets
CRITERIOS DE DIVISIBILIDAD
- Math
- 9th grade
Struktur Data (Tree dan Graph)
- Math
- 9th grade
📚 New Feature: Share worksheets & get automatic grading via Google Classroom 🎓
