-
Math
-
High School
-
12th grade
-
Algebra
-
Spanish
Author's Instructions
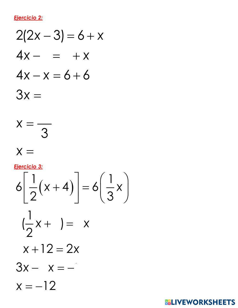
Completar los procedimientos de manera correcta para resolver las siguientes ecuaciones.
-
Math
-
High School
-
12th grade
-
Algebra
-
Spanish
Author's Instructions
Completar los procedimientos de manera correcta para resolver las siguientes ecuaciones.
Explore Worksheets
اللوغاريتمات و الدوال اللوغاريتمية
- Math
- 12th grade
Potencia cíclica de una matriz
- Math
- 12th grade
ใบงานที่ 6 การแก้โจทย์ปัญหาสัดส่วนตรง
- Math
- 12th grade
📚 New Feature: Share worksheets & get automatic grading via Google Classroom 🎓
