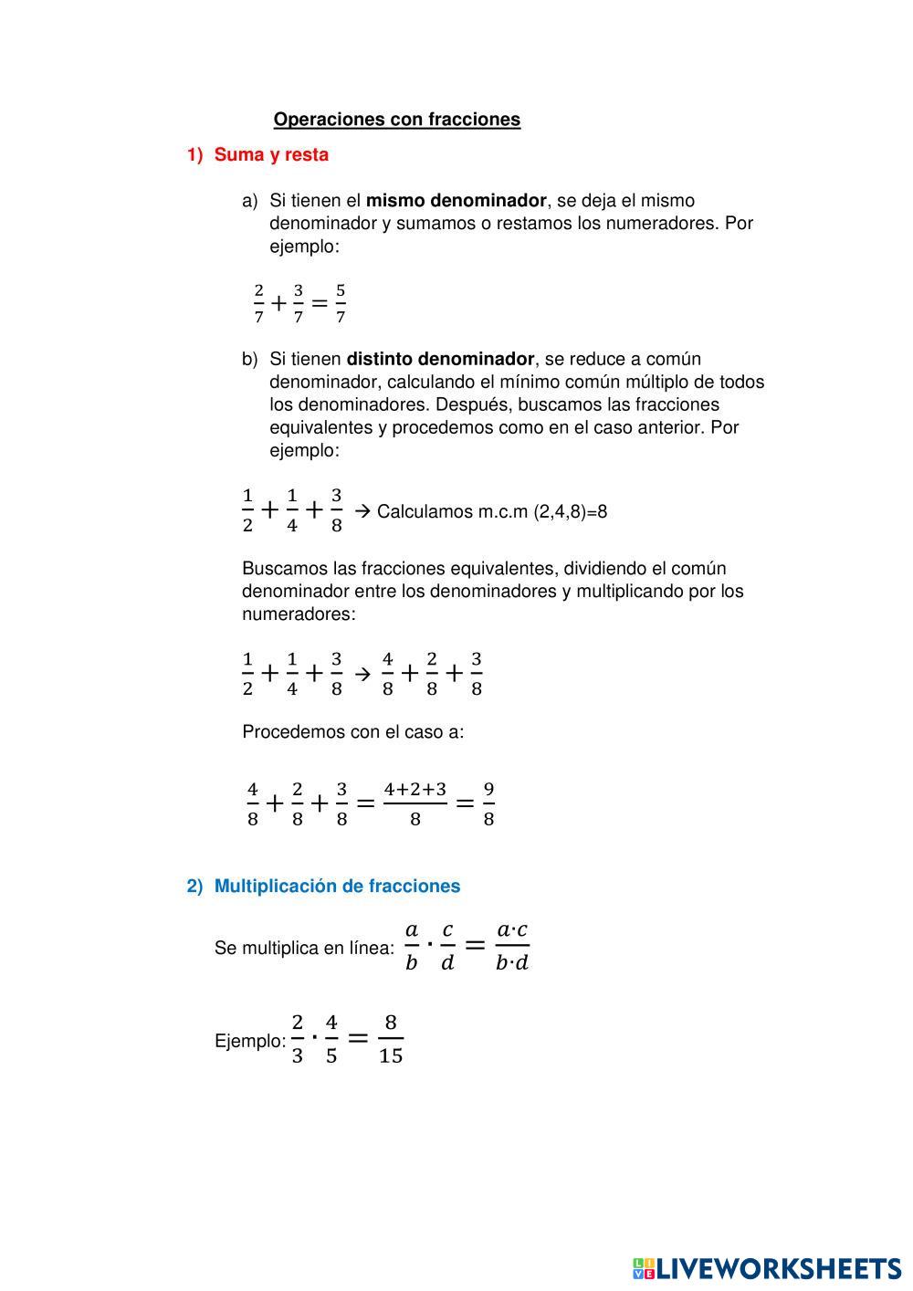
Created byVilla Math High School 9th grade Algebra Spanish Author's Instructions Calcula My Google Classroom Courses × 0 classes selected (0 students total) Quick Access Select all classes (0 classes) All Classes Loading courses... Cancel Share Share to selected Course __COURSE_NAME__ __STUDENT_NAME__ (__STUDENT_EMAIL__) Operaciones con fracciones Download Worksheet Validation Check my answers Emails my answers to my teacher Full name Group/level School subject Teacher's email or key code Close Submit Validating worksheet... (12) Your answers have been sent to your teacher. Good luck! OK We encountered an error submitting your answers. Please try again. OK Advertisement | Go Ad Free Created byVilla Math High School 9th grade Algebra Spanish Author's Instructions Calcula Explore Worksheets المتتابعات بوصفها دوال Math 9th grade المتتابعات بوصفها دوال Algebra - Math Distinction of mathematical and engineering follow-up كثيرات الحدود Math 9th grade كثيرات الحدود Algebra - Math مراجعة Adeel HW: Linear inequalities and number lines Math 9th grade Adeel HW: Linear inequalities and number lines Algebra - Math Due Thursday 19th February 2026 Ecuaciones y problemas Math 9th grade Ecuaciones y problemas Algebra - Math Ve paso a paso despejando la incognita y envia a tu profesor las respuestas. No hallaras las soluciones en este ejercicio.