-
Matemáticas
-
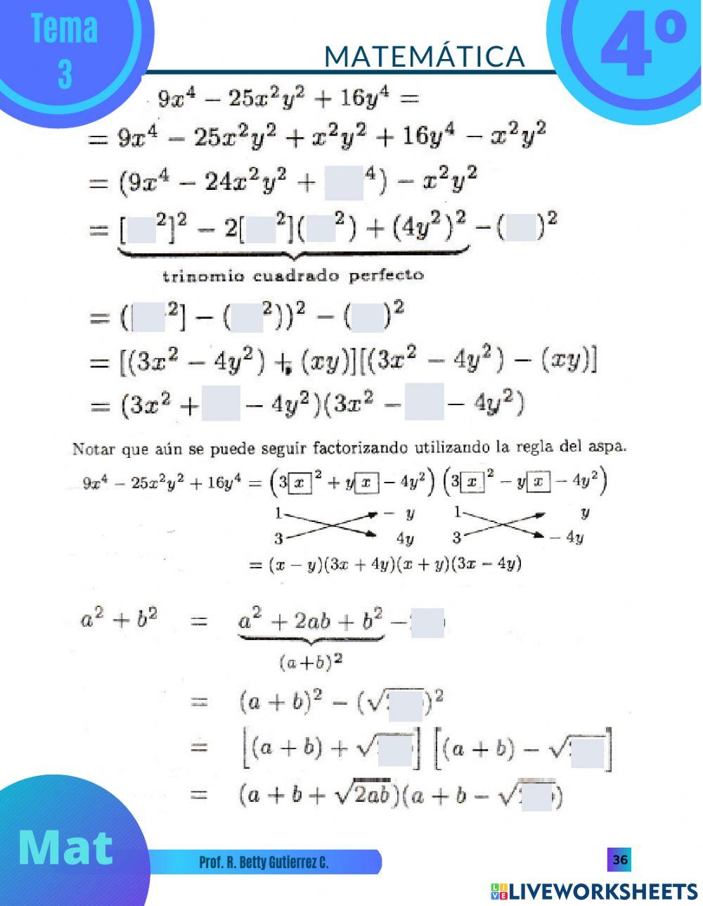
Factorización
-
Age 13-17
-
level: TERCERO DE SECUNDARIA
-
Spanish
Author's Instructions
EVALUACIÓN DE LA FACTORIZACIÓN ALGEBRAICA
-
Matemáticas
-
Factorización
-
Age 13-17
-
level: TERCERO DE SECUNDARIA
-
Spanish
Author's Instructions
EVALUACIÓN DE LA FACTORIZACIÓN ALGEBRAICA
📚 New Feature: Share worksheets & get automatic grading via Google Classroom 🎓
