-
Matemáticas
-
Operaciones básicas
-
Age 15+
-
level: Decimo
-
Spanish
Author's Instructions
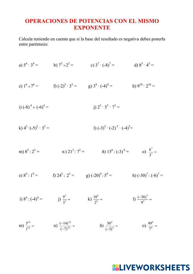
Ejercicio sobre operaciones de potencias y aplicación de propiedades de la potenciación.
-
Matemáticas
-
Operaciones básicas
-
Age 15+
-
level: Decimo
-
Spanish
Author's Instructions
Ejercicio sobre operaciones de potencias y aplicación de propiedades de la potenciación.
📚 New Feature: Share worksheets & get automatic grading via Google Classroom 🎓
