-
MATEMÁTICAS
-
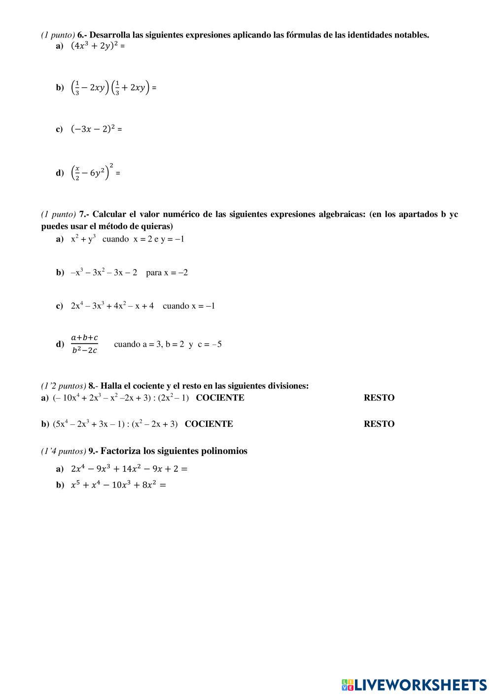
Polinomios
-
Age 14+
-
level: 4º ESO
-
Spanish
Author's Instructions
-
MATEMÁTICAS
-
Polinomios
-
Age 14+
-
level: 4º ESO
-
Spanish
📚 New Feature: Share worksheets & get automatic grading via Google Classroom 🎓
