Created by

OTINIOCAMARGO
-
Matemáticas
-
Numeros reales
-
Age 12-16
-
level: Secundaria
-
Spanish
Author's Instructions
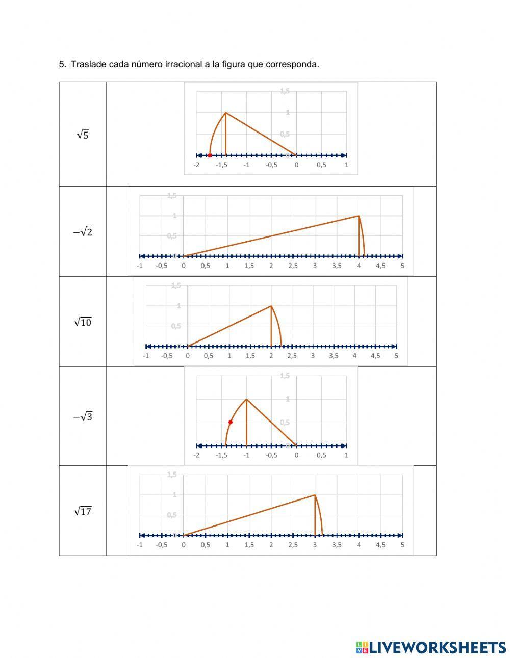
Identificar de qué conjumto numérico pertenecen los numeros dadas
Created by

OTINIOCAMARGO
-
Matemáticas
-
Numeros reales
-
Age 12-16
-
level: Secundaria
-
Spanish
Author's Instructions
Identificar de qué conjumto numérico pertenecen los numeros dadas
📚 New Feature: Share worksheets & get automatic grading via Google Classroom 🎓