-
Matemáticas
-
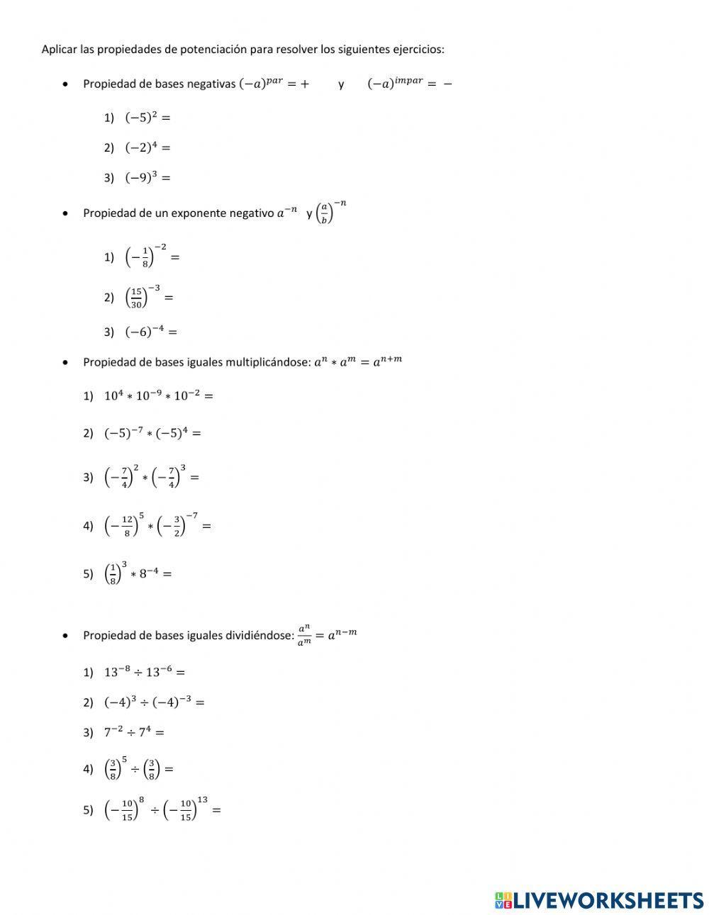
Propiedades de potenciación
-
Age 14+
-
level: Tercero básico
-
Spanish
Author's Instructions
Ejercicios de las propiedades, especialmente por cada propiedad
-
Matemáticas
-
Propiedades de potenciación
-
Age 14+
-
level: Tercero básico
-
Spanish
Author's Instructions
Ejercicios de las propiedades, especialmente por cada propiedad
📚 New Feature: Share worksheets & get automatic grading via Google Classroom 🎓
