-
matematicas
-
Algebra
-
Age 13-16
-
level: bachillerato
-
Spanish
Author's Instructions
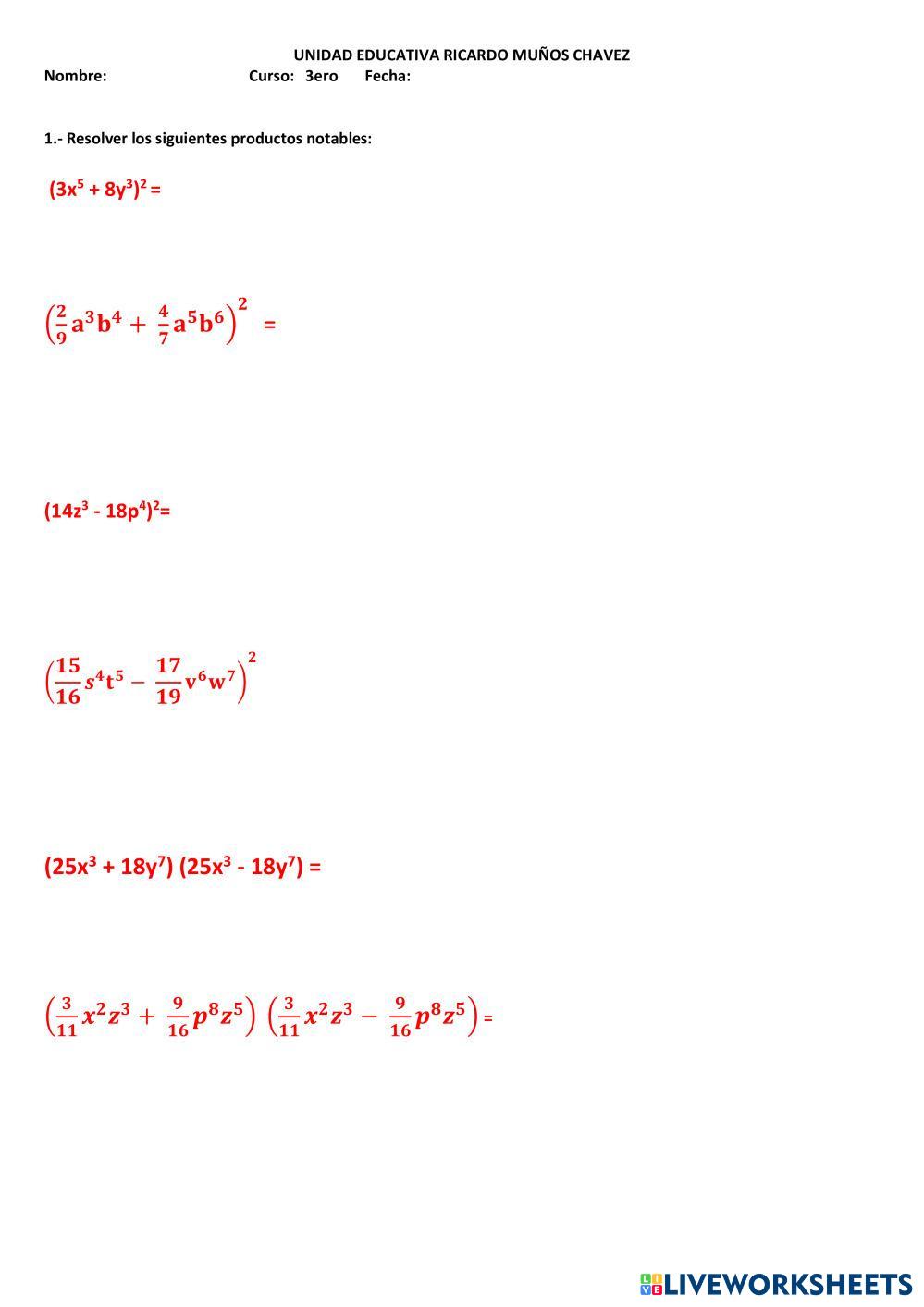
productos notables 3 primeros casos
-
matematicas
-
Algebra
-
Age 13-16
-
level: bachillerato
-
Spanish
Author's Instructions
productos notables 3 primeros casos
📚 New Feature: Share worksheets & get automatic grading via Google Classroom 🎓
