-
Matemáticas
-
Álgebra
-
Age 13-16
-
level: Secundaria
-
Spanish
Author's Instructions
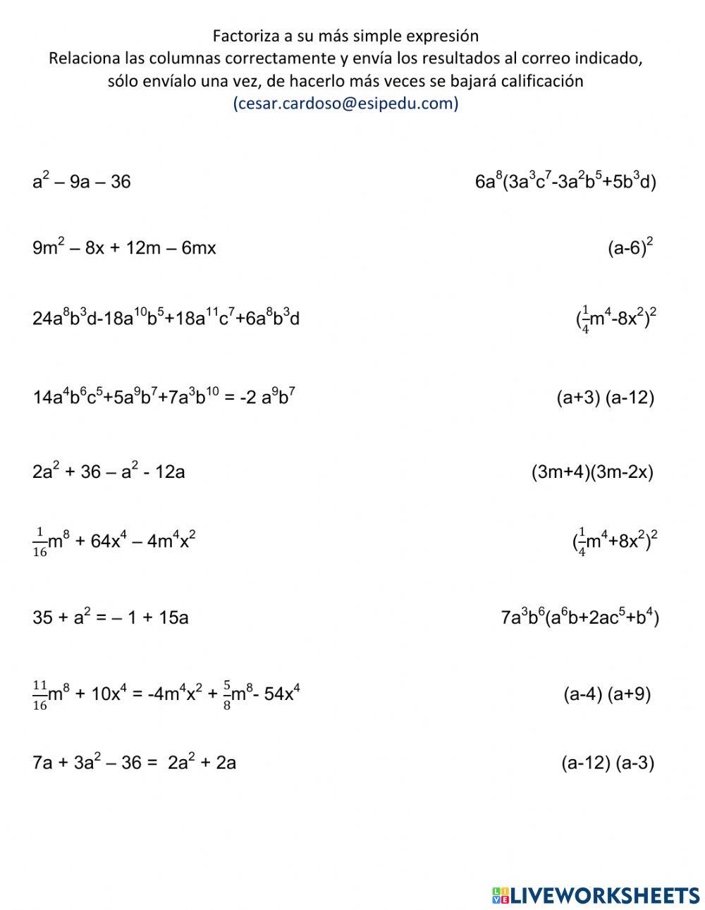
Identificar expresiones y factorizarlas
-
Matemáticas
-
Álgebra
-
Age 13-16
-
level: Secundaria
-
Spanish
Author's Instructions
Identificar expresiones y factorizarlas
📚 New Feature: Share worksheets & get automatic grading via Google Classroom 🎓
