Created by

Bpinto
-
Matemáticas
-
Ecuaciones de primer grado
-
Age 14-16
-
level: 3º eso
-
Spanish
Author's Instructions
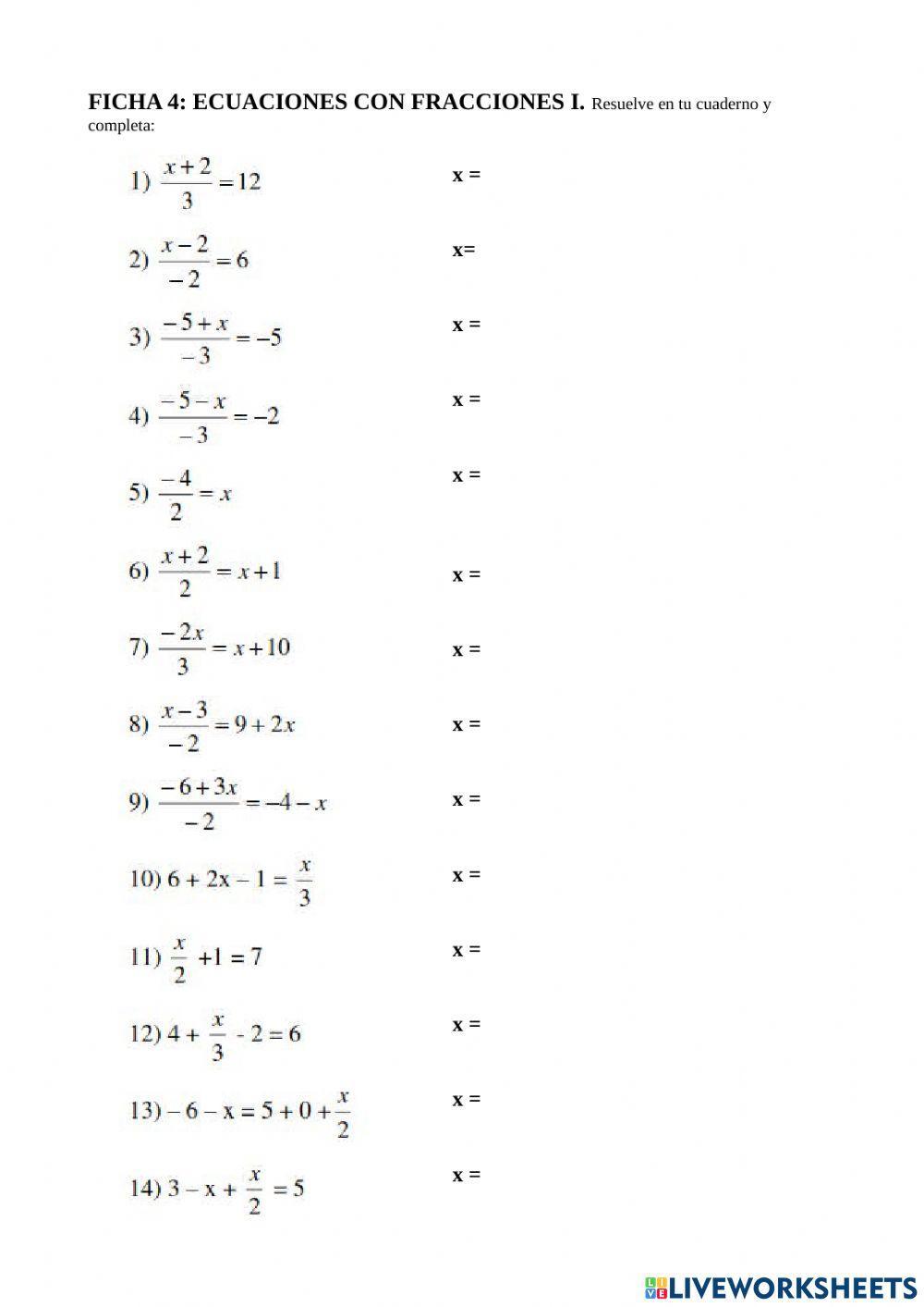
ecuaciones de primer grado con fracciones
Created by

Bpinto
-
Matemáticas
-
Ecuaciones de primer grado
-
Age 14-16
-
level: 3º eso
-
Spanish
Author's Instructions
ecuaciones de primer grado con fracciones
📚 New Feature: Share worksheets & get automatic grading via Google Classroom 🎓