-
Matemáticas
-
Productos Notables
-
Age 12-15
-
level: Noveno
-
Spanish
Author's Instructions
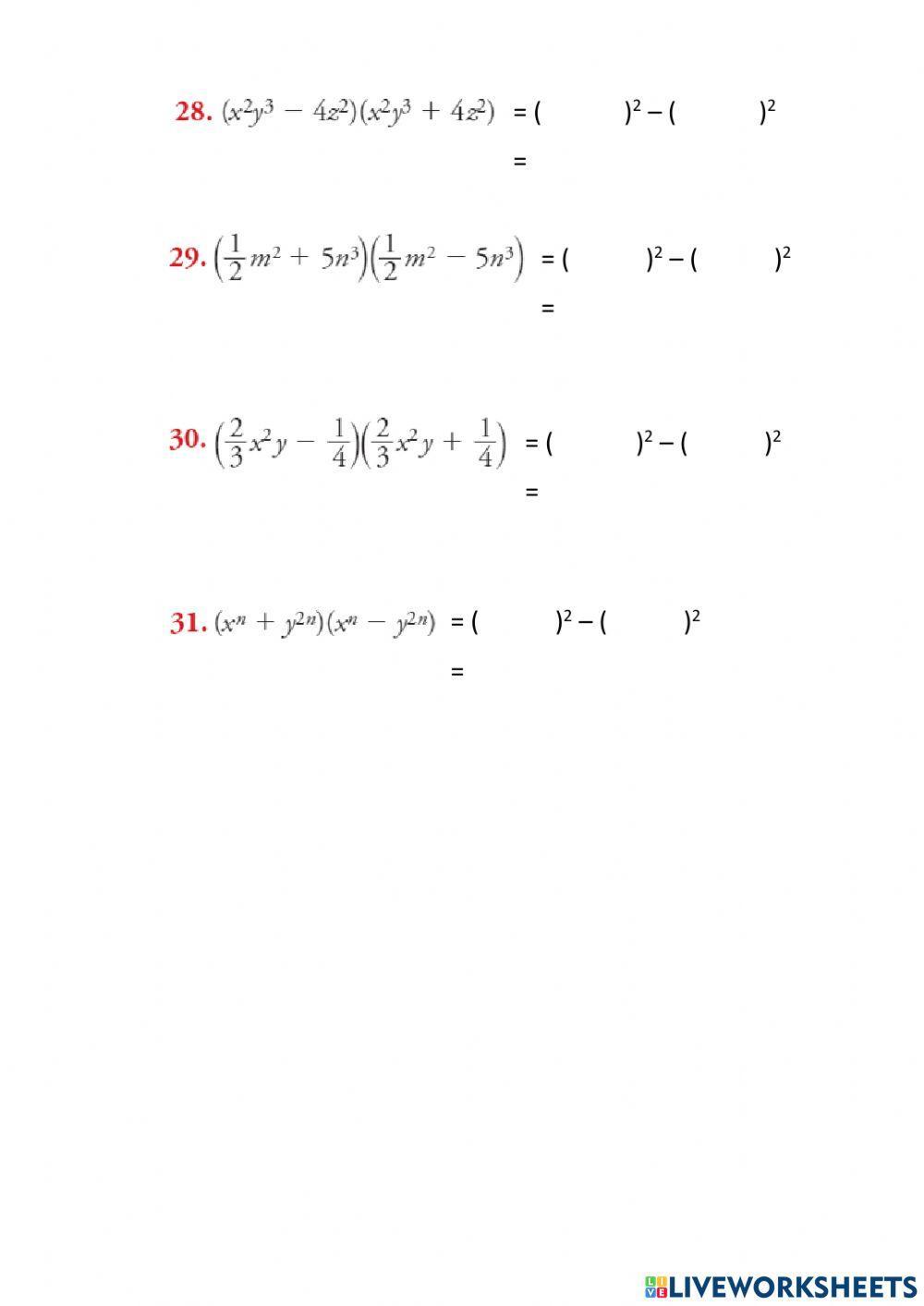
Esta actividad tiene el fin de fortalecer el cálculo de Productos de la suma por la resta
-
Matemáticas
-
Productos Notables
-
Age 12-15
-
level: Noveno
-
Spanish
Author's Instructions
Esta actividad tiene el fin de fortalecer el cálculo de Productos de la suma por la resta
📚 New Feature: Share worksheets & get automatic grading via Google Classroom 🎓
