-
Matemáticas
-
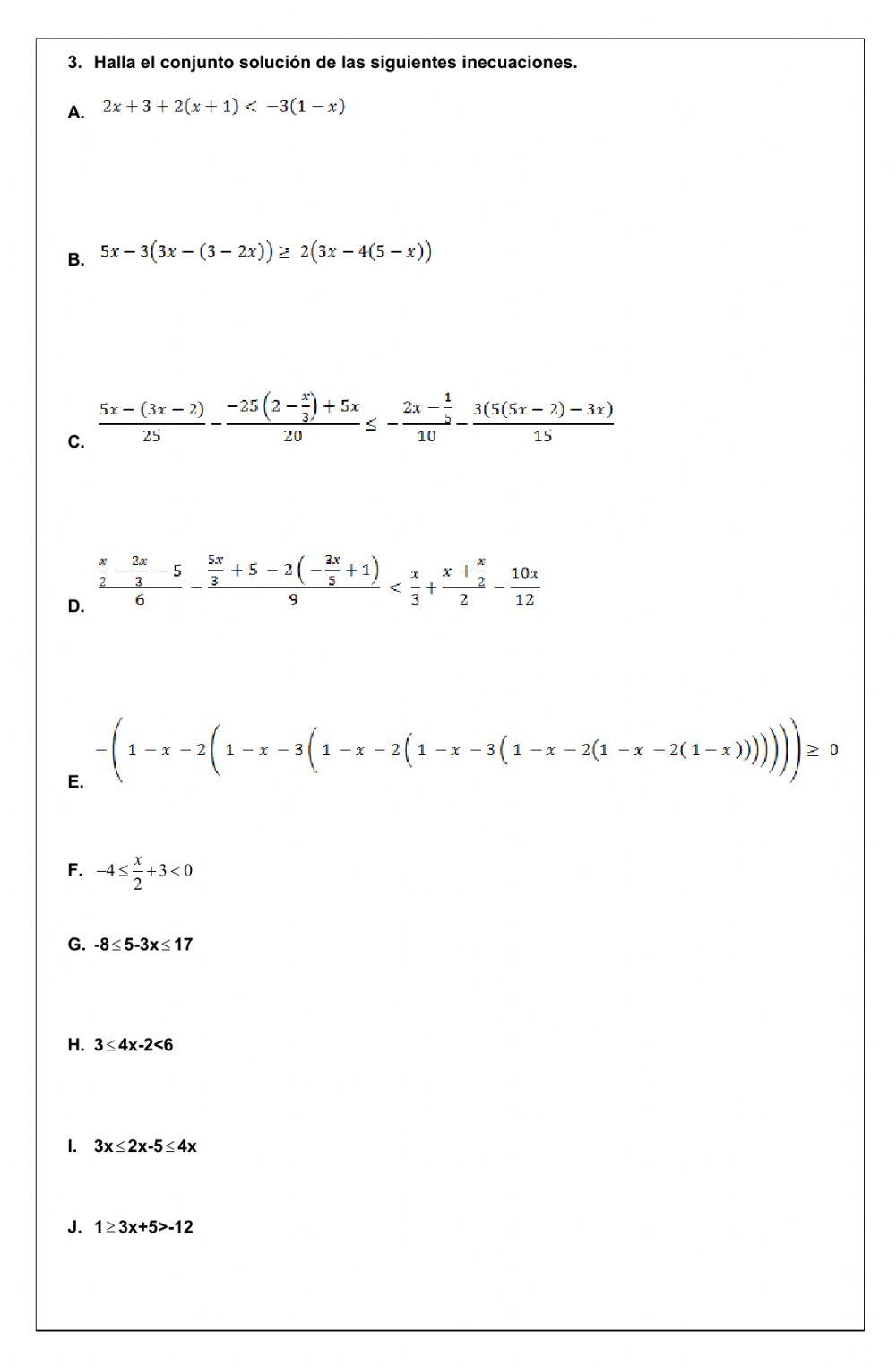
Inecuaciones
-
Age 14+
-
level: 11º
-
Spanish
Author's Instructions
Evidencias inecuaciones y desigualdades
-
Matemáticas
-
Inecuaciones
-
Age 14+
-
level: 11º
-
Spanish
Author's Instructions
Evidencias inecuaciones y desigualdades
📚 New Feature: Share worksheets & get automatic grading via Google Classroom 🎓