-
Matemáticas
-
Operaciones combinadas
-
Age 11-14
-
level: septimo
-
Spanish
Author's Instructions
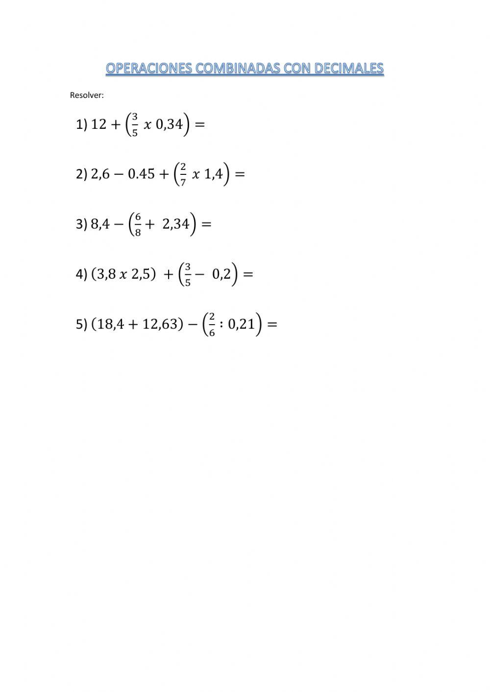
operaciones combinadas con numeros decimales, enteros y fracciones
-
Matemáticas
-
Operaciones combinadas
-
Age 11-14
-
level: septimo
-
Spanish
Author's Instructions
operaciones combinadas con numeros decimales, enteros y fracciones
📚 New Feature: Share worksheets & get automatic grading via Google Classroom 🎓
