-
Matemáticas
-
Números Racionales
-
Age 12-13
-
level: Octavo
-
Spanish
Author's Instructions
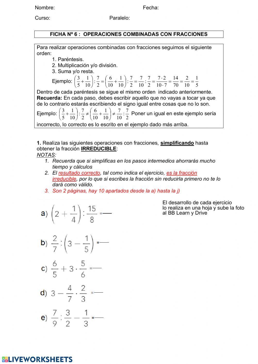
Actividad para reforzar operaciones combinadas con Racionales
-
Matemáticas
-
Números Racionales
-
Age 12-13
-
level: Octavo
-
Spanish
Author's Instructions
Actividad para reforzar operaciones combinadas con Racionales
📚 New Feature: Share worksheets & get automatic grading via Google Classroom 🎓
