-
Matemáticas
-
Números naturales
-
Age 12-13
-
level: ESO 1º
-
Spanish
Author's Instructions
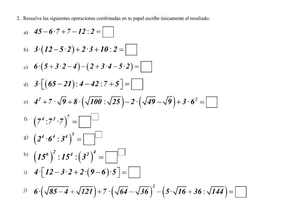
Números naturales. Operaciones combinadas
-
Matemáticas
-
Números naturales
-
Age 12-13
-
level: ESO 1º
-
Spanish
Author's Instructions
Números naturales. Operaciones combinadas
📚 New Feature: Share worksheets & get automatic grading via Google Classroom 🎓
