-
Matemáticas
-
Expresiones algebraicas
-
Age 15+
-
level: primer semestre de bachillerato
-
Spanish
Author's Instructions
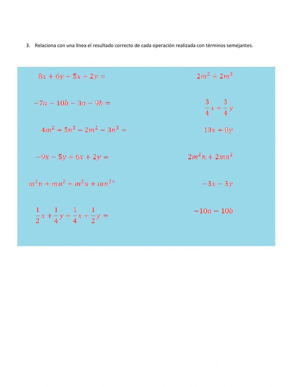
propiedades de los términos semejantes
-
Matemáticas
-
Expresiones algebraicas
-
Age 15+
-
level: primer semestre de bachillerato
-
Spanish
Author's Instructions
propiedades de los términos semejantes
📚 New Feature: Share worksheets & get automatic grading via Google Classroom 🎓
