-
Matemáticas
-
Analisis. Cálculo
-
Age 16+
-
level: Media Superior
-
Spanish
Author's Instructions
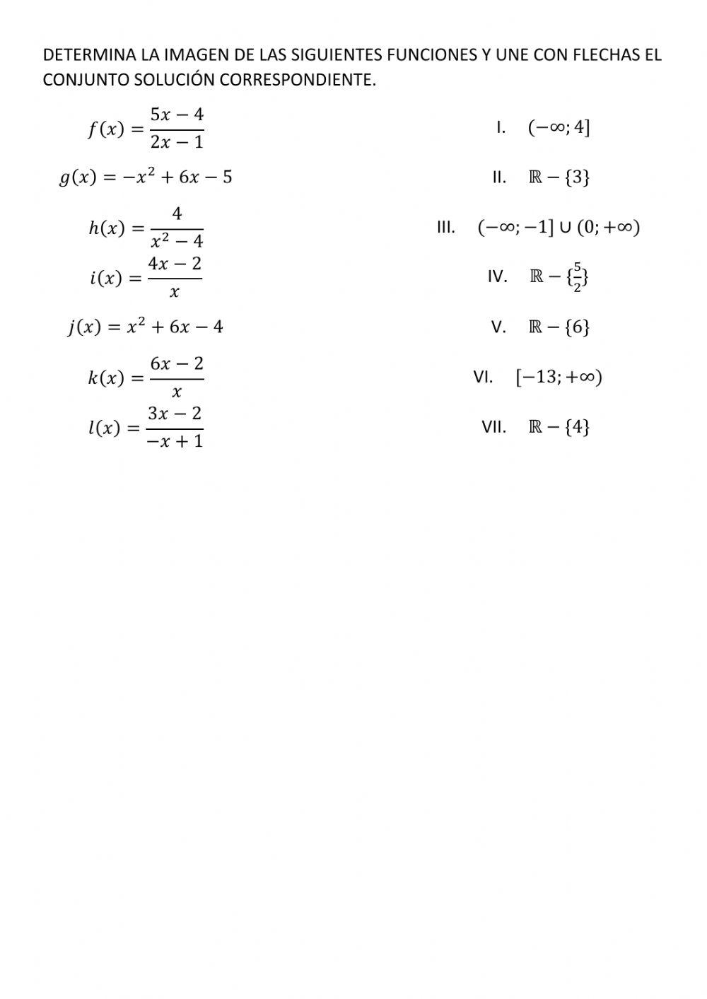
Une con flechas las funciones con el conjunto que representa su Imagen
-
Matemáticas
-
Analisis. Cálculo
-
Age 16+
-
level: Media Superior
-
Spanish
Author's Instructions
Une con flechas las funciones con el conjunto que representa su Imagen
📚 New Feature: Share worksheets & get automatic grading via Google Classroom 🎓
