-
Matemáticas
-
Potencias
-
Age 11-14
-
level: 1º-2º ESO
-
Spanish
Author's Instructions
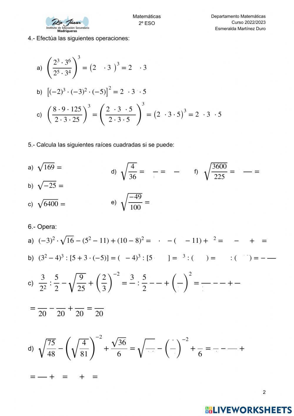
Ficha de repaso de raíces cuadradas y operaciones combinadas
-
Matemáticas
-
Potencias
-
Age 11-14
-
level: 1º-2º ESO
-
Spanish
Author's Instructions
Ficha de repaso de raíces cuadradas y operaciones combinadas
📚 New Feature: Share worksheets & get automatic grading via Google Classroom 🎓
