Created by

dvascoMAT
-
Matemáticas
-
Sistemas de ecuaciones
-
Age 13-16
-
level: ESO
-
Spanish
Author's Instructions
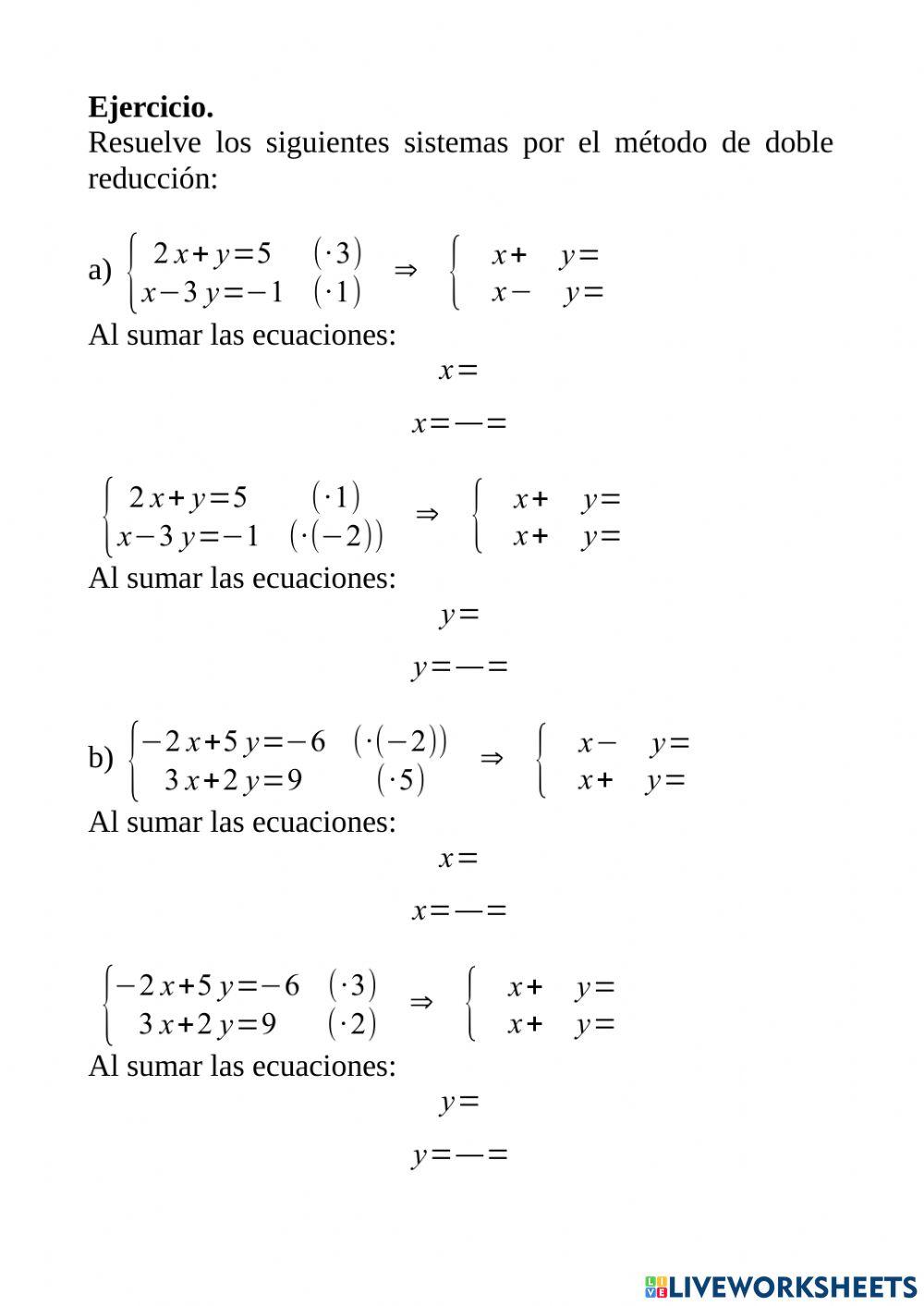
Resolución de sistemas utilizando el método de reducción doble.
Created by

dvascoMAT
-
Matemáticas
-
Sistemas de ecuaciones
-
Age 13-16
-
level: ESO
-
Spanish
Author's Instructions
Resolución de sistemas utilizando el método de reducción doble.
📚 New Feature: Share worksheets & get automatic grading via Google Classroom 🎓