-
Matemáticas
-
Sistemas de ecuaciones
-
Age 12-16
-
level: segundo de eso
-
Spanish
Author's Instructions
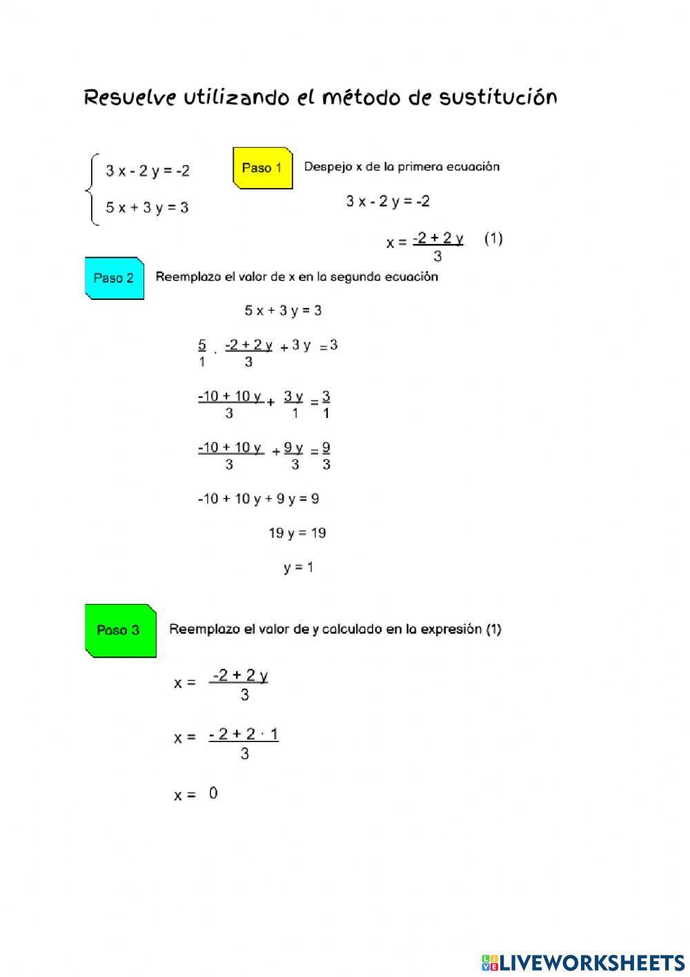
Resolución de sistemas por sustitución
-
Matemáticas
-
Sistemas de ecuaciones
-
Age 12-16
-
level: segundo de eso
-
Spanish
Author's Instructions
Resolución de sistemas por sustitución
📚 New Feature: Share worksheets & get automatic grading via Google Classroom 🎓
