Created by

dvascoMAT
- Matemáticas
- Operaciones con monomios
- Age 11-15
-
level: ESO
- Spanish
Author's Instructions
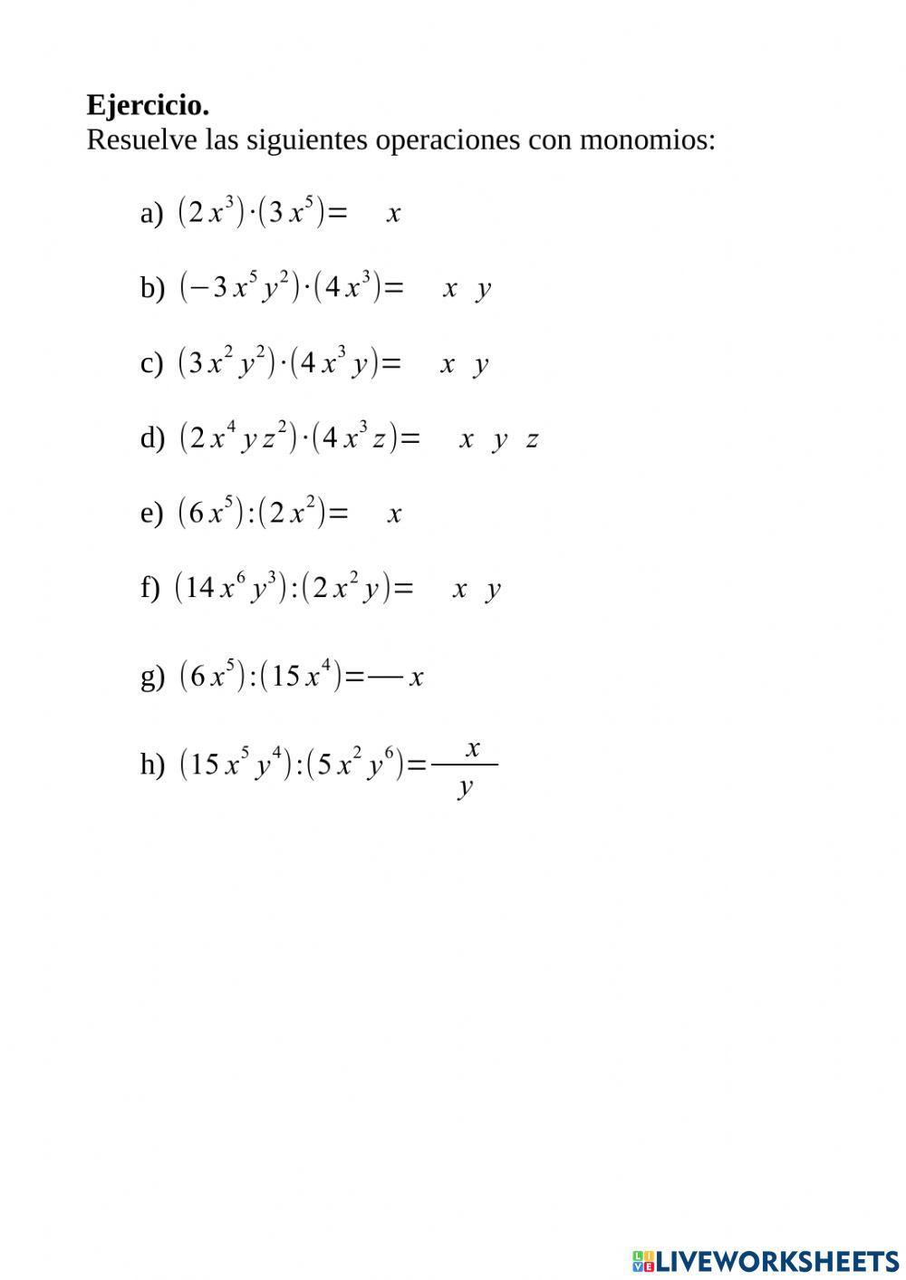
Producto y cociente de monomios
Created by

dvascoMAT
Author's Instructions
Producto y cociente de monomios
Created by

level: ESO
Producto y cociente de monomios
Created by

Producto y cociente de monomios