- Matemáticas
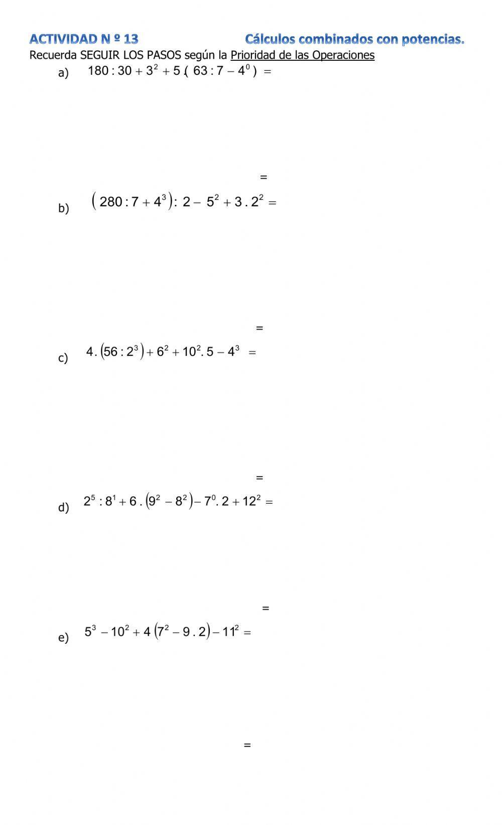
- Operaciones combinadas
- Age 11-13
-
level: 1ero SECUNDARIA
- Spanish
Author's Instructions
Resolución de cálculos con 5 operaciones y uso de paréntesis
Author's Instructions
Resolución de cálculos con 5 operaciones y uso de paréntesis
