Created by

JESUS_CHAVEZ
-
Matemáticas
-
Algebra
-
Age 14-15
-
level: Grade 3
-
Spanish
Author's Instructions
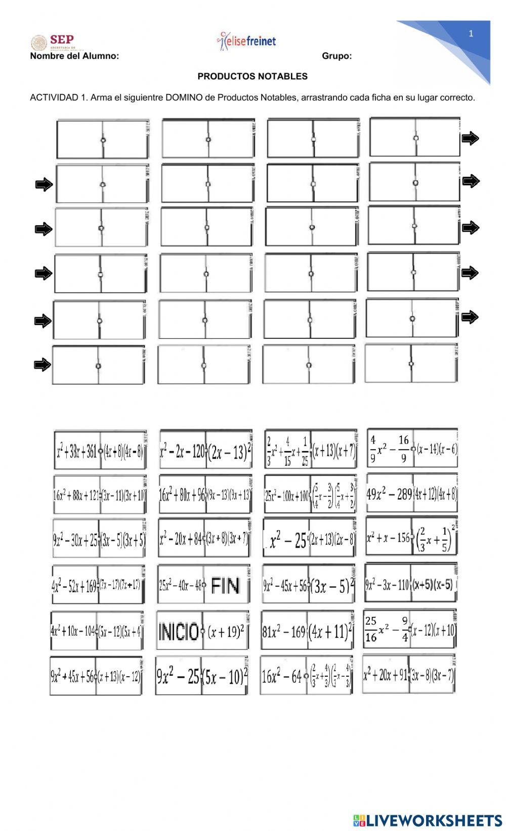
Desarrollo de Binomios
Created by

JESUS_CHAVEZ
-
Matemáticas
-
Algebra
-
Age 14-15
-
level: Grade 3
-
Spanish
Author's Instructions
Desarrollo de Binomios
📚 New Feature: Share worksheets & get automatic grading via Google Classroom 🎓