Created by

Maestro_Alberto_Gavilan
-
Matemáticas
-
Fracciones
-
Age 8-11
-
level: Cuarto de primaria
-
Spanish
Author's Instructions
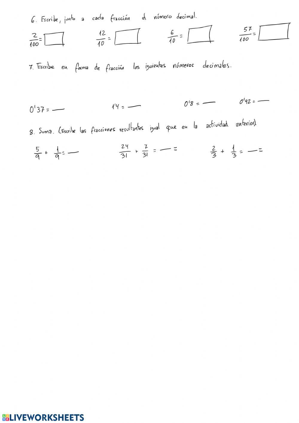
Repaso de los términos de una fracción, fracciones propias e impropias, representación gráfica, ordenar fracciones, convertir fracciones en números mixtos, convertir fracciones decimales en números decimales y viceversa, suma de fracciones con el mismo denominador.
Created by

Maestro_Alberto_Gavilan
-
Matemáticas
-
Fracciones
-
Age 8-11
-
level: Cuarto de primaria
-
Spanish
Author's Instructions
Repaso de los términos de una fracción, fracciones propias e impropias, representación gráfica, ordenar fracciones, convertir fracciones en números mixtos, convertir fracciones decimales en números decimales y viceversa, suma de fracciones con el mismo denominador.
📚 New Feature: Share worksheets & get automatic grading via Google Classroom 🎓