-
Matemáticas
-
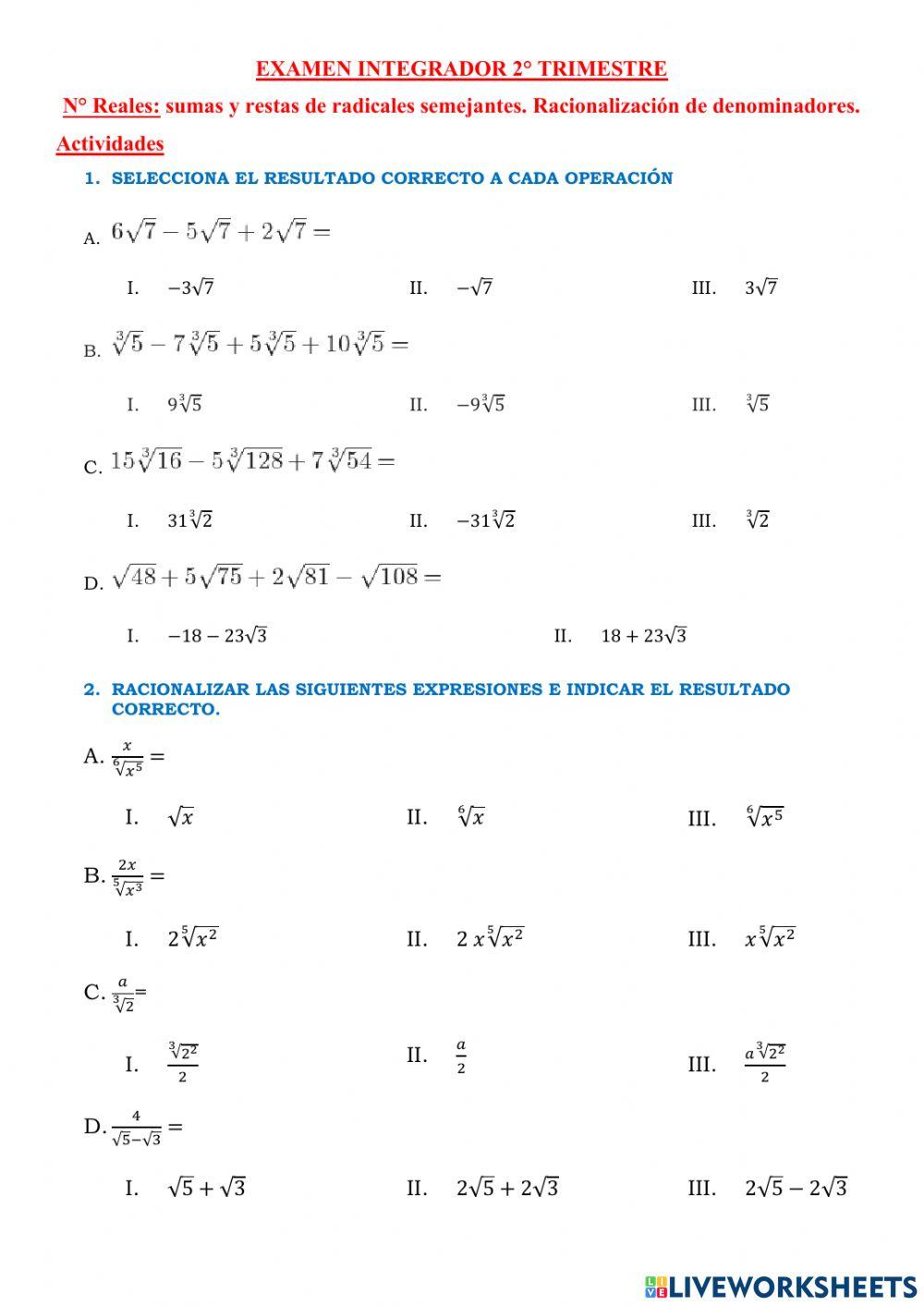
Radicales. Racionalización
-
Age 14-18
-
level: 3°
-
Spanish
Author's Instructions
Trabajo interactivo
-
Matemáticas
-
Radicales. Racionalización
-
Age 14-18
-
level: 3°
-
Spanish
Author's Instructions
Trabajo interactivo
📚 New Feature: Share worksheets & get automatic grading via Google Classroom 🎓
