-
Matemáticas
-
Potencias y raíces
-
Age 10-13
-
level: 6°
-
Spanish
Author's Instructions
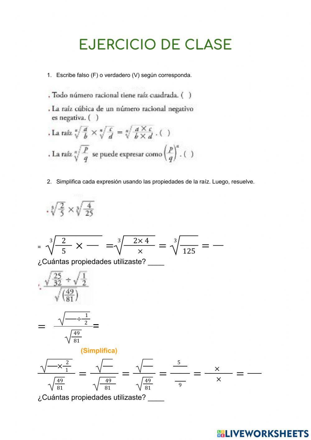
Aplicación de propiedades de la raíz
-
Matemáticas
-
Potencias y raíces
-
Age 10-13
-
level: 6°
-
Spanish
Author's Instructions
Aplicación de propiedades de la raíz
📚 New Feature: Share worksheets & get automatic grading via Google Classroom 🎓
