Created by

Erikiu
- Matemáticas
- Polinomios
- Age 11-13
-
level: octavo
- Spanish
Author's Instructions
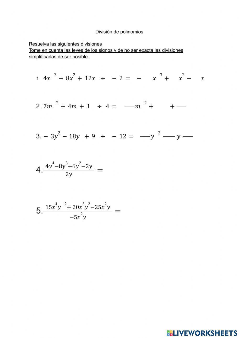
Operaciones con polinomios
Created by

Erikiu
Author's Instructions
Operaciones con polinomios
Created by

level: octavo
Operaciones con polinomios
Created by

Operaciones con polinomios