-
Matemáticas
-
Sistemas de ecuaciones
-
Age 14+
-
level: 3
-
Spanish
Author's Instructions
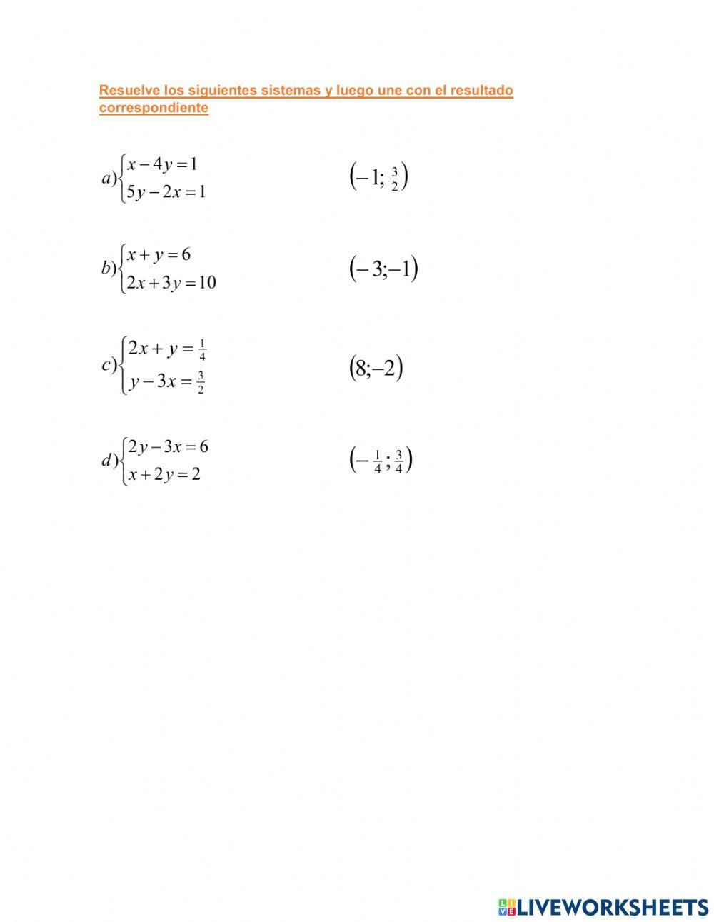
resolver sistemas de ecuaciones
-
Matemáticas
-
Sistemas de ecuaciones
-
Age 14+
-
level: 3
-
Spanish
Author's Instructions
resolver sistemas de ecuaciones
📚 New Feature: Share worksheets & get automatic grading via Google Classroom 🎓
