-
Matemáticas Académicas
-
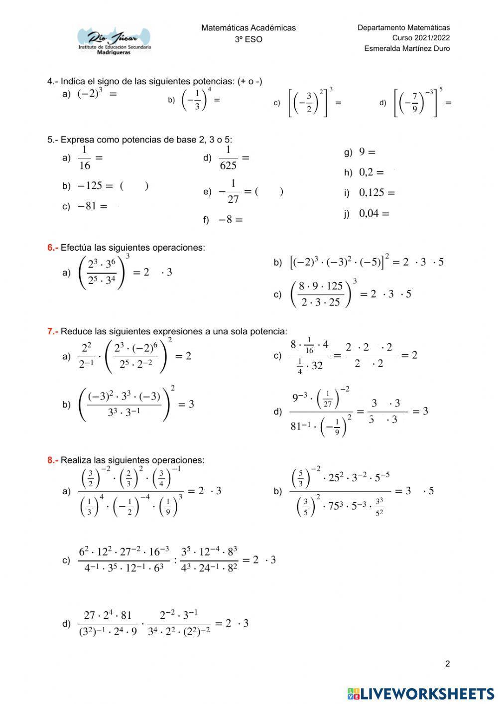
Potencias
-
Age 14-16
-
level: 3º ESO
-
Spanish
Author's Instructions
Ficha de repaso
-
Matemáticas Académicas
-
Potencias
-
Age 14-16
-
level: 3º ESO
-
Spanish
Author's Instructions
Ficha de repaso
📚 New Feature: Share worksheets & get automatic grading via Google Classroom 🎓
