Created by

MariaKapek
- Informática
- Filtro avanzado
- Age 11+
-
level: Primero de secundaria
- Spanish
Author's Instructions
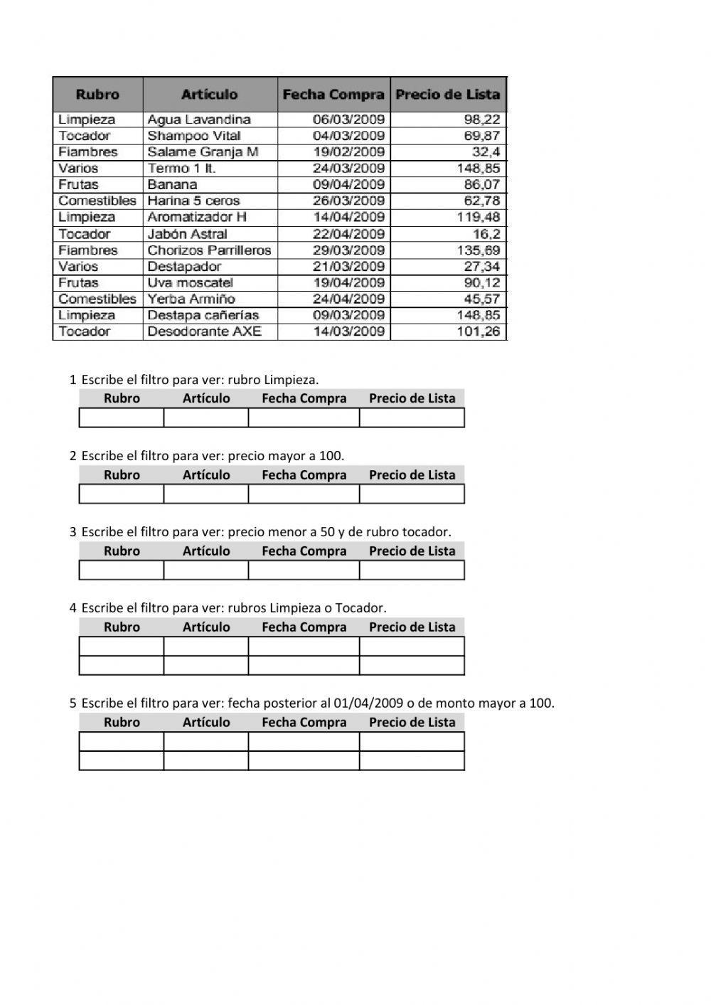
Escribir condiciones para un Filtro avanzado.
Created by

MariaKapek
Author's Instructions
Escribir condiciones para un Filtro avanzado.