-
Ciencias de la Naturaleza
-
Evaluación quimestral
-
Age 14-17
-
level: Décimos
-
Spanish
Author's Instructions
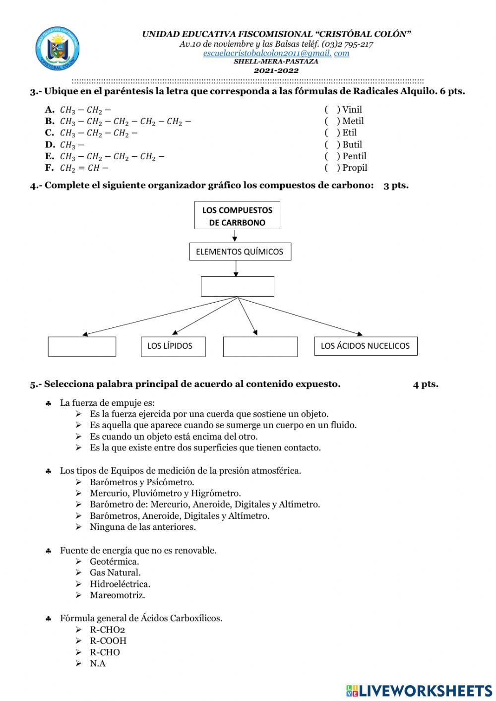
Contenidos aprendidos durante el quimestre.
-
Ciencias de la Naturaleza
-
Evaluación quimestral
-
Age 14-17
-
level: Décimos
-
Spanish
Author's Instructions
Contenidos aprendidos durante el quimestre.
📚 New Feature: Share worksheets & get automatic grading via Google Classroom 🎓
