-
Álgebra
-
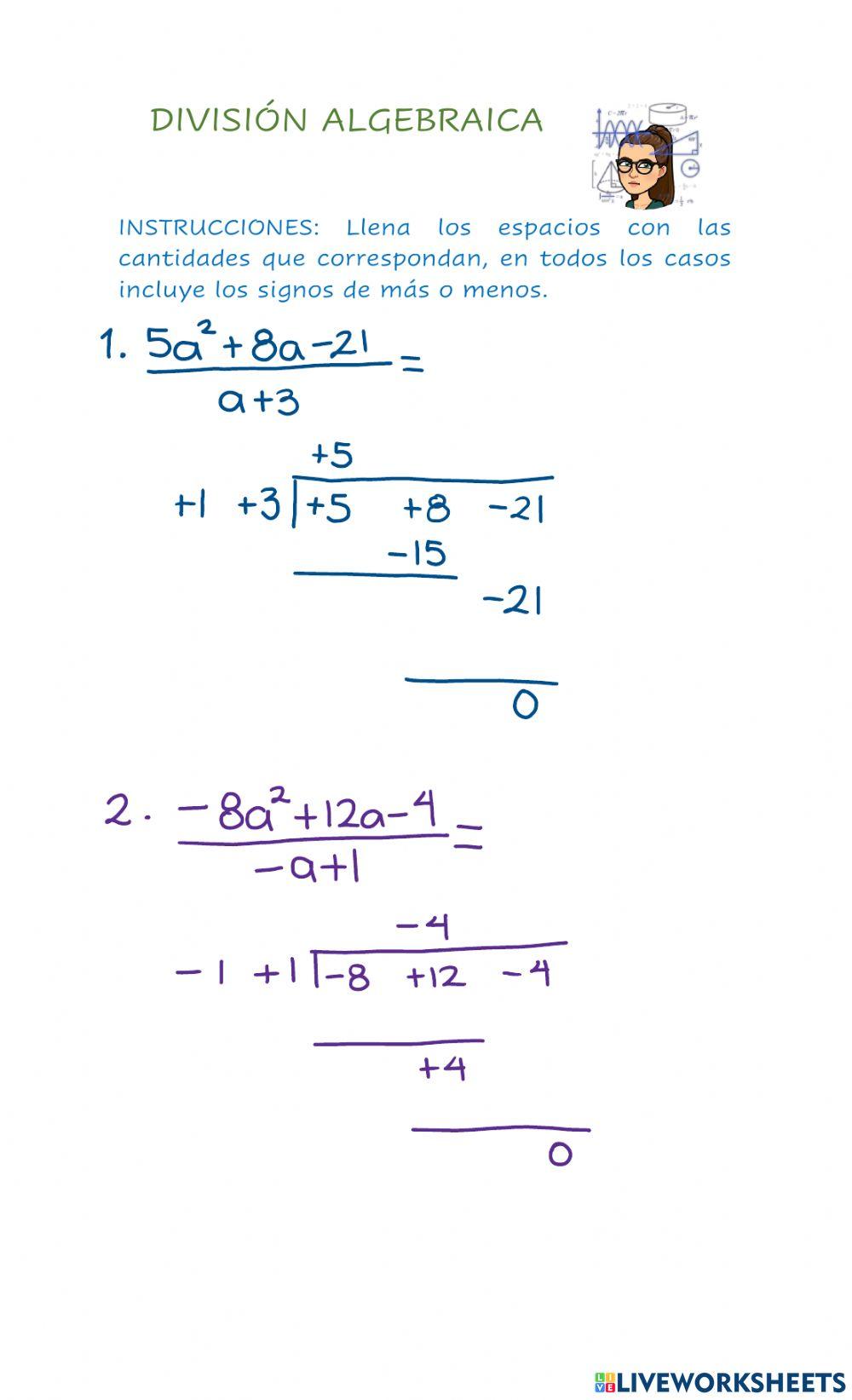
División de polinomios
-
Age 12+
-
level: Primero de Secundaria
-
Spanish
Author's Instructions
División de polinomios por método de coeficientes separados
-
Álgebra
-
División de polinomios
-
Age 12+
-
level: Primero de Secundaria
-
Spanish
Author's Instructions
División de polinomios por método de coeficientes separados
📚 New Feature: Share worksheets & get automatic grading via Google Classroom 🎓
