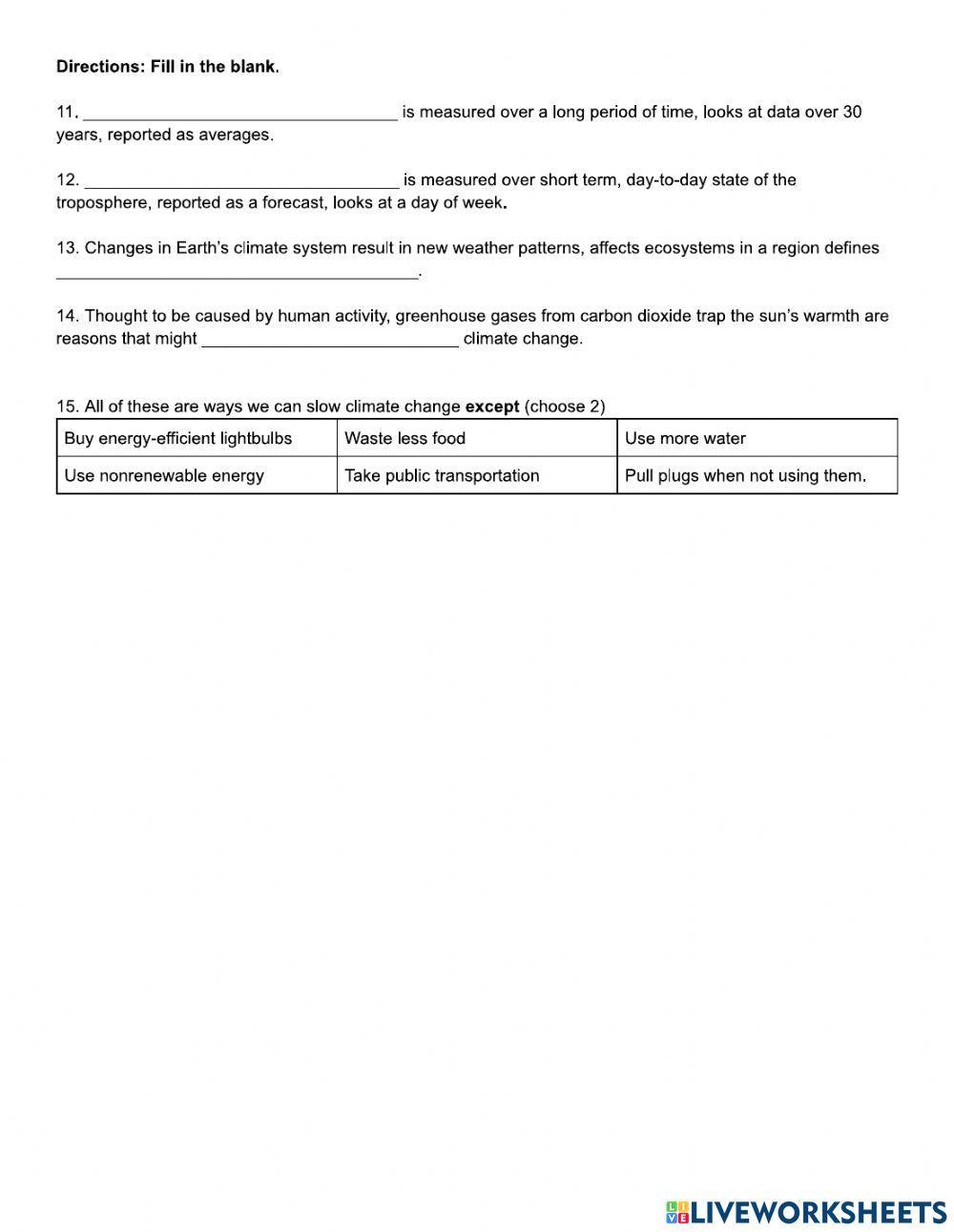
-
Science
-
Choose:-climate change-what might cause climate change
-
Age 8-11
-
level: 4th
-
English
Author's Instructions
Weather/Climate & Storms
-
Science
-
Choose:-climate change-what might cause climate change
-
Age 8-11
-
level: 4th
-
English
Author's Instructions
Weather/Climate & Storms
📚 New Feature: Share worksheets & get automatic grading via Google Classroom 🎓
